Question
(a) What is the ratio of power outputs by two microwave ovens having frequencies of 950 and 2560 MHz, if they emit the same number of photons per second? (b) What is the ratio of photons per second if they have the same power output?
Final Answer
Solution video
OpenStax College Physics, Chapter 29, Problem 30 (Problems & Exercises)

vote with a rating of
votes with an average rating of
.
Calculator Screenshots
Video Transcript
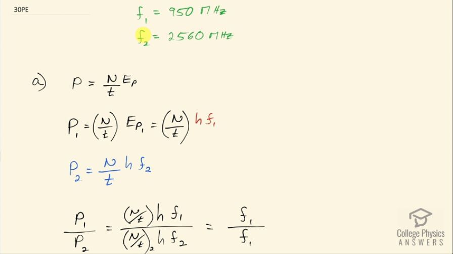
This is College Physics Answers with Shaun Dychko. A microwave oven emits a frequency f 1 of 950 megahertz and a second microwave oven, which we'll call frequency f 2 uses 2560 megahertz—photons— to heat the material inside the microwave. So part (a) is asking what's the ratio of the power outputs if they met the same number of photons per second? So we have power is the number of photons per second, which is number divided by time multiplied by the energy of a single photon. So P 1 is N over t which I do not put a subscript 1 on since for part (a), we are told that the number per second or the number per time is the same for both microwaves so there's no need for a subscript on that factor. So this gets multiplied by the energy of the photon from microwave number 1 and that is Planck's constant times frequency one so I made a substitution of Planck's constant times frequency for the energy of a photon. Power of the second microwave is the same rate of photon production N over t multiplied by Planck's constant times frequency 2 so when we go P 1 divided by P 2 then— this is the ratio of power outputs— it's N over t times hf 1 over N over t times hf 2 and there's no subscript there, this cancels with that and the Planck's constants cancel and we are left with the ratio of powers is the same as the ratio of the frequencies so that's 950 megahertz divided by 2560 megahertz, which is 0.371. In part (b) we are told make a different assumption assume that the microwaves have the same power output well in that case what is the ratio of the rate of photon production? Now because if the microwaves have the same power output, this first microwave will have to produce more photons per second to compensate for the fact that each photon has a lower energy due to the lower frequency. So the P's do not need subscripts anymore because the power output is the same so P what would have otherwise been 1 is going to be N over t subscript 1— the rate of photon production from the first microwave— times the first frequency divided by the power output from the second microwave, which is its rate of photon production N over t subscript 2 times its frequency f 2 so P over P is 1 and then we multiply both sides by f 2 over f 1 and then we get that the ratio of photon production is going to be frequency two over frequency one and that is 2560 megahertz divided by 950 megahertz and that's 2.69. So the lower frequency microwave needs to produce 2.69 times the number of photons per second as microwave two.