Question
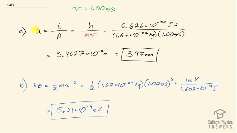
Experiments are performed with ultracold neutrons having velocities as small as 1.00 m/s. (a) What is the wavelength of such a neutron? (b) What is its kinetic energy in eV?
Final Answer
Solution video
OpenStax College Physics, Chapter 29, Problem 54 (Problems & Exercises)

vote with a rating of
votes with an average rating of
.
Calculator Screenshots
Video Transcript
This is College Physics Answers with Shaun Dychko. Some ultra cold neutrons have a velocity of only 1.00 meter per second and the question in part (a) is what is the de Broglie wavelength of these neutrons? And that will be Planck's constant divided by momentum and since this velocity is nowhere close to the speed of light, we can use the non-relativistic version for our momentum formula so we have mass times velocity there. So that's 6.626 times 10 to the minus 34 joule seconds— Planck's constant—divided by the mass of a neutron— 1.67 times 10 to the minus 27 kilograms— times 1.00 meter per second and this works out to 397 nanometers. The kinetic energy in electron volts is going to be one-half mass times velocity squared so that's one-half times mass of a neutron times 1.00 meter per second squared multiplied by 1 electron volt for every 1.602 times 10 to the minus 19 joules and we end up with 5.21 times 10 to the minus 9 electron volts.