Question
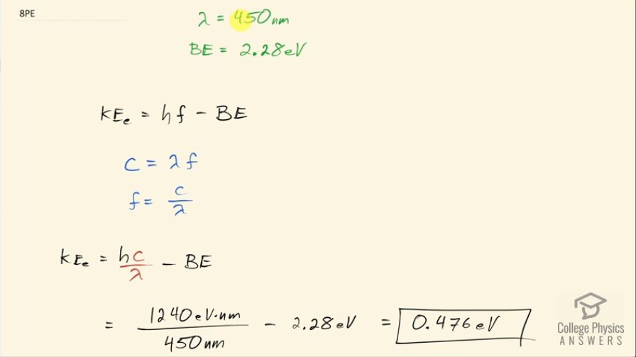
What is the maximum kinetic energy in eV of electrons ejected from sodium metal by 450-nm EM radiation, given that the binding energy is 2.28 eV?
Question by OpenStax is licensed under CC BY 4.0
Final Answer
0.476 eV0.476\textrm{ eV}

Solution video

OpenStax College Physics, Chapter 29, Problem 8 (Problems & Exercises)

OpenStax College Physics, Chapter 29, Problem 8 (PE) video thumbnail

In order to watch this solution you need to have a subscription.

Start free trial Log in
vote with a rating of votes with an average rating of .

Calculator Screenshots

  • OpenStax College Physics, Chapter 29, Problem 8 (PE) calculator screenshot 1
Video Transcript
This is College Physics Answers with Shaun Dychko. What is the maximum kinetic energy of electrons ejected from sodium metal by 450 nanometer photons given their binding energy of 2.28 electron volts? So this formula tells us what the maximum kinetic energy is and it's going to equal the total energy of the photon: Planck's constant times its frequency minus the binding energy. We don't know the frequency, we are given the wavelength and so let's substitute for frequency in terms of wavelength by first looking at this wave equation which says that the speed of a wave equals the product of its wavelength and its frequency and we'll divide both sides by the wavelength and solve for frequency so frequency is speed of light divided by its wavelength. So we substitute c over λ in place of f here. So the maximum kinetic energy then assuming all of this photon energy is absorbed by the electron and in that case, we get the maximum kinetic energy is going to be 1240 electron volt nanometers— that's hc multiplied together— and we can divide that by 450 nanometers— the wavelength that we are given— and minus the binding energy of 2.28 electron volts because this first term will have units of electron volts here after the nanometers cancel, we end up with 0.476 electron volts of kinetic energy at the most for an electron that's been ejected from sodium metal.

Comments

Im not sure how you got 1240, i know what h is but where did you get c?

Hi Svavar, thank you for the question. I took a shortcut there and substituted 1240 eVnm1240 \textrm{ eV}\cdot\textrm{nm} directly for the product of hchc together. This is useful when the wavelength is given in units of nanometers, which is usually the case. It's suggested here in the OpenStax College Physics textbook. Instead if you substituted for Planck's constant and the speed of light with 'mks' units, instead of taking this shortcut, what would work fine also.
Hope this helps,
Shaun