Question
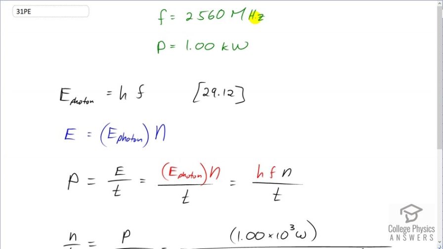
How many photons per second are emitted by the antenna of a microwave oven, if its power output is 1.00 kW at a frequency of 2560 MHz?
Final Answer
Solution video
OpenStax College Physics, Chapter 29, Problem 31 (Problems & Exercises)

vote with a rating of
votes with an average rating of
.
Calculator Screenshots
Video Transcript
This is College Physics Answers with Shaun Dychko. A microwave oven has a power of 1 kilowatt and uses a frequency of 2560 megahertz and the question is, how many photons are emitted per second by this microwave? Now the energy per photon is Planck's constant times the frequency of the photon; that's equation [29.12]. The total energy emitted by the microwave is the energy per photon multiplied by the total number of photons. And this can be substituted in place of total energy in our expression for the power, which is energy per time and we'll have energy per photon multiplied by the number of photons per time. And it's this n over t that we are interested in— the number of photons per time— and that'll be photons per second if we choose our units for everything else correctly. And energy per photon we'll replace with Planck's constant times frequency from here. And so multiply both sides by 1 over hf and multiply this by 1 over hf. And so we have power over Planck's constant times frequency is the number of photons divided by time. So that's 1 times 10 to the 3 watts, which I could write instead as joules per second and then divide it by 6.626 times 10 to the minus 34 joule seconds. And so the joules cancel. And so we have per second here and then we're multiplying by the frequency— 2560 times 10 to the 6 hertz— and hertz can be rewritten as 1 over seconds and so these seconds cancel and so our units are per second and the thing we are counting are photons. And so we have 5.90 times 10 to the 26 photons per second is the rate at which photons are emitted by the microwave.