Question
A laser with a power output of 2.00 mW at a wavelength of 400 nm is projected onto calcium metal. (a) How many electrons per second are ejected? (b) What power is carried away by the electrons, given that the binding energy is 2.71 eV?
Final Answer
Solution video
OpenStax College Physics, Chapter 29, Problem 16 (Problems & Exercises)

vote with a rating of
votes with an average rating of
.
Calculator Screenshots
Video Transcript
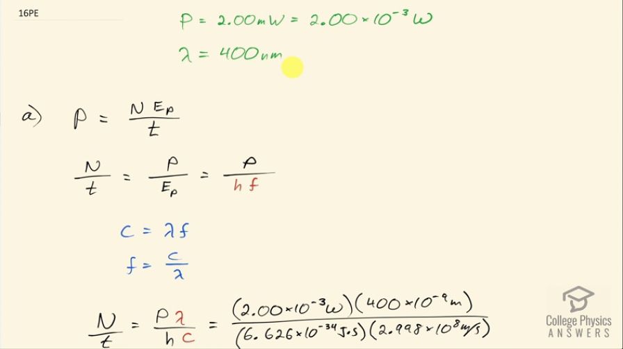
This is College Physics Answers with Shaun Dychko. A laser with a power output of 2.00 milliwatts and a wavelength of 400 nanometers is being projected on some calcium metal and the question in part (a) is asking how many electrons per second are going to be ejected from the calcium atoms? That's the same as asking how many photons per second are being created in this beam of light from the laser? So the number of photons then is the energy per photon for a single photon multiplied by the number of photons divided by time and we can solve for N over < i>t because this is the rate at which photons are made— this is number of photons per second, which is the same as number of electrons emitted per second because each photon will eject one electron so the rate of photon impinging on the calcium would be the same as the rate of electron's being ejected; this is going to be the power output of the laser divided by the energy of a single photon. So we can replace E P— energy of a photon— with Planck's constant times frequency and then since we are given the wavelength and not frequency, we have to replace f with c over λ since we have this wave equation that says the speed of the wave is the product of the wavelength and the frequency, we can divide both sides by λ to solve for f. Now dividing by this fraction is the same as multiplying by its reciprocal or in other words, multiplying by this fraction flipped over so that's why I have λ over c written here. So the rate of photon production or the rate of electron ejection is the power times the wavelength divided by Planck's constant times speed of light. So that's 2.00 times 10 to the minus 3 watts times 400 times 10 to the minus 9 meters divided by Planck's constant in units of joules seconds multiplied by the speed of light and this is 4.03 times 10 to the 15 electrons ejected per second. Part (b) is asking what power is carried away by the electrons? And that power is going to be the kinetic energy of the electron multiplied by the rate of the production of the electrons and we are told the binding energy of the calcium is 2.71 electron volts so binding energy 2.71 (usually I put information given to us in green... there!) So we are going to substitute for kinetic energy by replacing it with Planck's constant times speed of light divided by wavelength minus binding energy and that goes here in place of kinetic energy and then we substitute in numbers. So that's 6.626 times 10 to the minus 34 joule seconds— Planck's constant—times speed of light divided by the wavelength in meters minus 2.71 electron volts—binding energy— converted into joules then multiply that by the rate of electron production that we found in part (a) and this is 0.252 milliwatts.