Question
(a) Calculate the velocity of electrons that form the same pattern as 450-nm light when passed through a double slit. (b) Calculate the kinetic energy of each and compare them. (c) Would either be easier to generate than the other? Explain.
Final Answer
- The photon energy is greater than the kinetic energy of the electron by a factor of
- light is blue light, which is easy to make. A free electron requires a vacuum and special technology such as a cathode ray tube.
Solution video
OpenStax College Physics, Chapter 29, Problem 80 (Problems & Exercises)

vote with a rating of
votes with an average rating of
.
Calculator Screenshots
Video Transcript
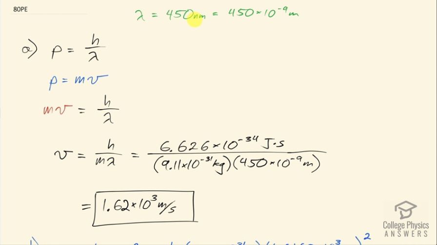
This is College Physics Answers with Shaun Dychko. We are going to calculate the velocity of electrons that form the same pattern as 450 nanometer light when passed through a double slit so this means that the electron needs to have a de Broglie wavelength equal to 450 nanometers. So the momentum of an electron will be Planck's constant divided by the wavelength and we can substitute mv in place of momentum and then solve for v by dividing both sides by m. So the velocity of the electron then will be Planck's constant divided by the electron mass times its wavelength. So that's 6.626 times 10 to the minus 34 joule seconds divided by 9.11 times 10 to the minus 31 kilograms times 450 times 10 to the minus 9 meters and that's 1.62 times 10 to the 3 meters per second. Part (b) asks what is the kinetic energy of the electron and what's the energy of the photon that has the same wavelength and compare those two. So the kinetic energy of the electron is one-half times its mass times its velocity squared so that's one-half times 9.11 times 10 to the minus 31 kilograms times the answer to part (a) squared and that's 1.19 times 10 to the minus 24 joules. The energy of a photon with that same wavelength will be Planck's constant times the speed of light divided by that wavelength so here's Planck's constant times the speed of light divided by 450 times 10 to the minus 9 meters and that's 4.41 times 10 to the minus 19 joules. So the ratio of these two is a good way to compare the numbers and so we'll take the energy of the photon, divide that by the kinetic energy of the electron and this is 3.71 times 10 to the 5. So the photon energy is greater than the kinetic energy of the electron that has the same wavelength by a factor of 3.71 times 10 to the 5. Part (c) asks which will be easier to generate? Certainly the blue light will be easier to generate because 450 nanometers is the color blue and it's straight forward to make blue lights. Free electron requires a vacuum and special technology like a cathode ray tube so blue light is easier.