Question
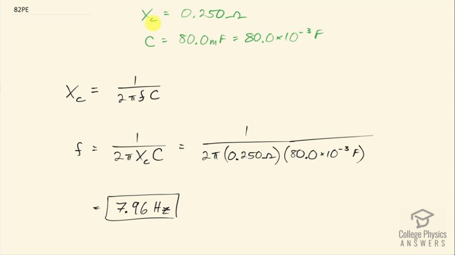
At what frequency will an 80.0 mF capacitor have a reactance of ?
Final Answer
Solution video
OpenStax College Physics, Chapter 23, Problem 82 (Problems & Exercises)

vote with a rating of
votes with an average rating of
.
Calculator Screenshots
Video Transcript
This is College Physics Answers with Shaun Dychko. We want to know at what frequency will an 80.0 millifarad capacitor have a capacitive reactance of 0.250 ohms? So the formula for capacitive reactance is 1 over 2π times frequency times capacitance and we can solve for f by multiplying both sides by f divided by capacitive reactance so the frequency then is 1 over 2π times reactance times capacitance. So that's 1 over 2π times 0.250 ohms times 80.0 times 10 to the minus 3 farads, which is 7.96 hertz.