Question
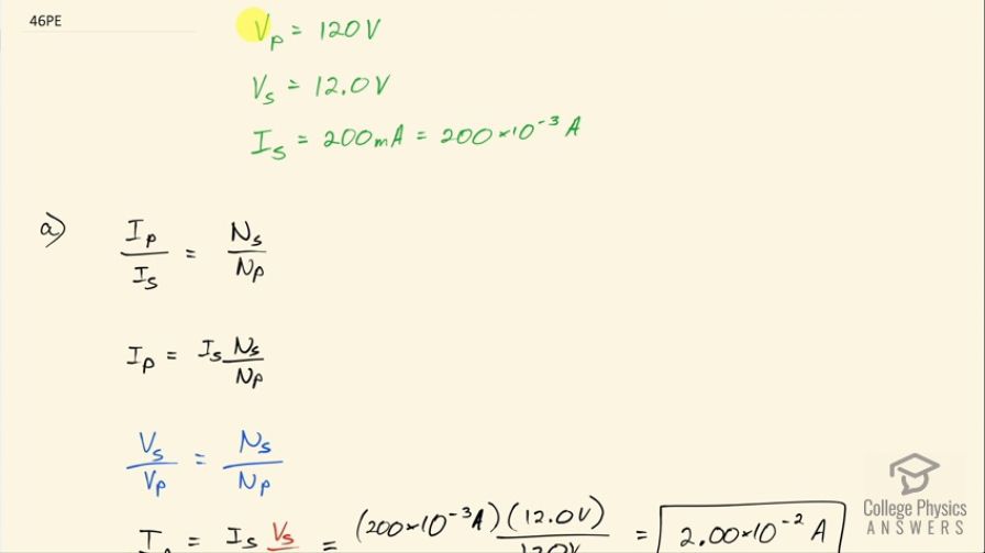
A cassette recorder uses a plug-in transformer to convert 120 V to 12.0 V, with a maximum current output of 200 mA. (a) What is the current input? (b) What is the power input? (c) Is this amount of power reasonable for a small appliance?
Question by OpenStax is licensed under CC BY 4.0
Final Answer
  1. 2.00×102 A2.00\times 10^{-2}\textrm{ A}
  2. 2.40 W2.40\textrm{ W}
  3. Yes, this power is reasonable for a small device. A night light incandescent bulb, for comparison, takes 4 watts.

Solution video

OpenStax College Physics, Chapter 23, Problem 46 (Problems & Exercises)

OpenStax College Physics, Chapter 23, Problem 46 (PE) video thumbnail

In order to watch this solution you need to have a subscription.

Start free trial Log in
vote with a rating of votes with an average rating of .

Calculator Screenshots

  • OpenStax College Physics, Chapter 23, Problem 46 (PE) calculator screenshot 1
Video Transcript
This is College Physics Answers with Shaun Dychko. The adapter for a cassette recorder is plugged into a 120 volt outlet in the wall and that will be the primary voltage and the output of the adapter is the secondary voltage and it's 12.0 volts; the maximum possible output current is 200 milliamps, which is 200 times 10 to the minus 3 amps and our job is to figure out what is the current input, the current in the primary, in other words? So the primary current divided by secondary current is the secondary number of turns divided by the primary number of turns in the adapter transformer. We can solve this for I p by multiplying both sides by I s so I p equals I sN s over N p. Now we don't know what this ratio is directly but we can figure it out because the ratio of the voltages is the same as the ratio of turns so V s over V p is N s over N p and we can substitute V s over V p in place of this fraction then. So the current in the primary then is the current in the secondary multiplied by the secondary voltage divided by the primary voltage so that's 200 times 10 to the minus 3 amps times 12.0 volts divided by 120 volts which is 2.00 times 10 to the minus 2 amps assuming there are three significant figures in this 120 volt number. Part (b) it asks what is the power input? So whenever it says input, you have to think primary coil and so the power in the primary then is the current in the primary multiplied by the voltage across the primary so that's 2.00 times 10 to the minus 2 amps times 120 volts, which is 2.40 watts. And part (c) asks us if this power is reasonable? And it is. For comparison, you can think of a low wattage night-light bulb of an incandescent type is 4.00 watts and this is less than that so it makes sense that a small device like a cassette recorder would take only 2.40 watts.

Comments

The video and calculator picture display the correct answer for part b, but the top answer list displays 2.5 W instead of 2.4 W.