Question
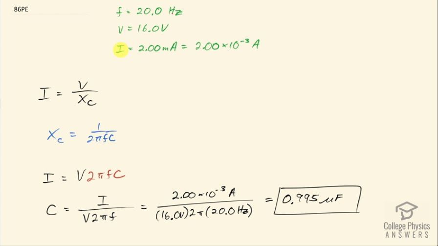
A 20.0 Hz, 16.0 V source produces a 2.00 mA current when connected to a capacitor. What is the capacitance?
Final Answer
Solution video
OpenStax College Physics, Chapter 23, Problem 86 (Problems & Exercises)

vote with a rating of
votes with an average rating of
.
Calculator Screenshots
Video Transcript
This is College Physics Answers with Shaun Dychko. A 16.0 volt source with a frequency of 20.0 hertz is connected to a capacitor and the current in this circuit is 2.00 milliamps, which is 2.00 times 10 to the minus 3 amps and the question is what must be the capacitance then of the capacitor? So the current is going to be the voltage divided by the capacitive reactance and the capacitive reactance is 1 over 2π times frequency times capacitance. We are going to divide V by this fraction which is the same as multiplying by its reciprocal so I am gonna flip the fraction and multiply by that flipped version— the reciprocal in other words— and so we have current then is V times 2πfC and we can solve this for C by dividing both sides by V2πf. So the capacitance then is the current divided by the voltage times 2π times the frequency. That's 2.00 times 10 to the minus 3 amps divided by 16.0 volts times 2π times 20.0 hertz which is 0.995 microfarads is the capacitance.