Question
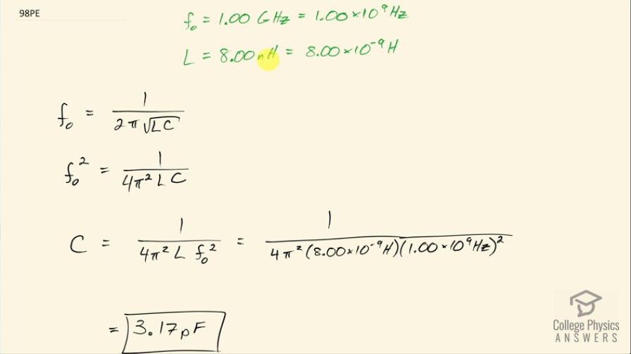
What capacitance do you need to produce a resonant frequency of 1.00 GHz, when using an 8.00 nH inductor?
Final Answer
Solution video
OpenStax College Physics, Chapter 23, Problem 98 (Problems & Exercises)

vote with a rating of
votes with an average rating of
.
Calculator Screenshots
Video Transcript
This is College Physics Answers with Shaun Dychko. We want to know what capacitance is needed to produce a resonant frequency of 1.00 gigahertz when using an 8.00 nanohenry inductor and both of these are converted into their units without prefixes so that's 1.00 times 10 to the 9 hertz and 8.00 times 10 to the minus 9 henries. Resonant frequency is 1.00 over 2π times the square root of inductance times capacitance and we can solve for C by multiplying both sides first by itself so we are squaring both sides so we have f naught squared on the left and on the right, we have 1 over 4π squaredLC and then we'll solve for C by multiplying both sides by C over f naught squared. So the capacitance then is 1 over 4π squared times the inductance times the resonant frequency squared. So that's 1 over 4π squared times 8.00 times 10 to the minus 9 henries times 1.00 times 10 to the 9 hertz squared and that is 3.17 picofarads and this 'pico' is a prefix meaning times 10 to the minus 12.