Question
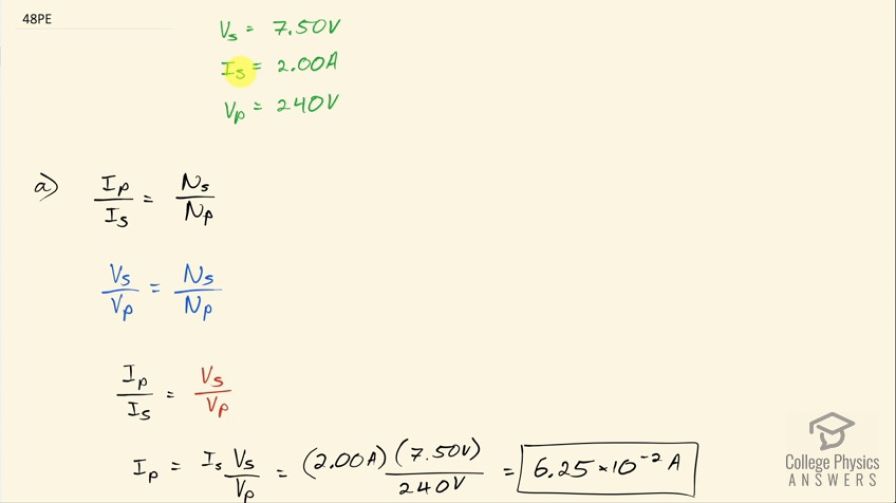
(a) The plug-in transformer for a laptop computer puts out 7.50 V and can supply a maximum current of 2.00 A. What is the maximum input current if the input voltage is 240 V? Assume 100% efficiency. (b) If the actual efficiency is less than 100%, would the input current need to be greater or smaller? Explain.
Final Answer
- The current needs to be larger to compensate for the power lost due to the inefficient transfer of power from the primary coil to the secondary coil of the transformer.
Solution video
OpenStax College Physics, Chapter 23, Problem 48 (Problems & Exercises)

vote with a rating of
votes with an average rating of
.
Calculator Screenshots
Video Transcript
This is College Physics Answers with Shaun Dychko. The adapter for a computer laptop outputs 7.50 volts and has a maximum output current of 2.00 amps and when you hear the word output, you should be thinking secondary— that's the output side of the transformer. The input voltage or the voltage in the primary in other words is 240 volts—this must be in Europe or something— and the question in part (a) asks us what is the current input? So the current in the primary divided by current in the secondary is the number of turns in the secondary divided by number of turns in the primary and so to solve for I p, we can multiply both sides by I s but then... that's not the whole story because we don't know what this ratio is directly although we can figure it out based on the ratio of the voltages. So N s over N p is voltage in the secondary divided by voltage in the primary so we make this substitution here and I guess this is the point where I actually multiply by I s (I got ahead of myself there a little bit) so we have I p then— voltage input in other words— is the voltage output times V s over V p. So that's 2.00 amps times 7.50 volts divided by 240 volts and that's 6.25 times 10 to the minus 2 amps and we expected this current to be less than the maximum possible current output because since the input voltage is so much higher, the product of current and voltage should be the same for both the input and the output assuming perfect efficiency. I mean of course the secondary will have slightly less power output but almost the same and... yeah! So a much higher voltage should be compensated for by a much smaller current in the primary. Okay! Now part (b) does talk about that efficiency and so it's asking if the actual efficiency is less than 100 percent, would the input current need to be greater or smaller? So before talking about, you know, algebra and formulas here, we can say that sure the input current has to be higher to compensate for what's going to be lost through the inefficiency but we can express that with our formulas as well. So the power in the secondary is going to equal some efficiency multiplied by the power in the primary coil in reality—and that's what this prime here is meant to indicate. So the power when we are taking efficiency into account and substituting for p in the primary prime, it's current in the primary when there is some inefficiency multiplied by V p, which does not get a prime because V p is the same when we consider the efficiency or when we consider the idealized case which is here with no prime. Now the P s does not get a prime because these are meant to be the same so I mean the question is asking how does the current need to change such that the power is the same as in the ideal case and so there's no need for a prime here. So in the ideal case, P s is this ideal current multiplied by the same V p as it would have otherwise been with some realistic efficiency considered. Now since these are both equal to P s, we can equate them together that is this equals this and we do that here and then we can divide both sides by V p, and also divide both sides by efficiency and you get that the current in the primary, when we do consider efficiency issues, is going to equal I p divided by that efficiency. Now since we are told the efficiency is less than 1— of course— that means this current in the primary will need to be greater than the idealized current that would have occurred with perfect efficiency because when you divide this idealized current by a number less than 1, this quotient is going to be greater than the numerator. There we go!