Question
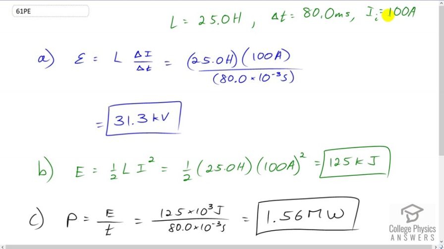
A large research solenoid has a self-inductance of 25.0 H. (a) What induced emf opposes shutting it off when 100 A of current through it is switched off in 80.0 ms? (b) How much energy is stored in the inductor at full current? (c) At what rate in watts must energy be dissipated to switch the current off in 80.0 ms? (d) In view of the answer to the last part, is it surprising that shutting it down this quickly is difficult?
Final Answer
- It's no surprise that shutting down this solenoid is difficult since a massive amount of power must be dissipated.
Solution video
OpenStax College Physics, Chapter 23, Problem 61 (Problems & Exercises)

vote with a rating of
votes with an average rating of
.
Calculator Screenshots
Video Transcript
This is College Physics Answers with Shaun Dychko. A large coil used for research has an inductance of 25.0 henry and there is a current going through it 100 amps initially and that current is switched off in a time of 80 milli-seconds and so the emf that will be induced to oppose switching of the current will be inductance times rate of change of current so that’s 25 henry times 100 amps because the final current is zero and so the change in current is, you know zero minus 100, you can say negative 100 amps as the change but we don’t care about the direction of the voltage so I just put positive there and that’s divided by 80.0 milli seconds written as times ten to the minus three seconds and this gives 31.3 kilo-volts will be the induced emf. At full current, the amount of energy stored in this inductor is one half times its inductance multiplied by current square. So, that’s one-half times 25.0 henry times 100 amps squared which gives 125 kilo-joule. Now, the amount of power dissipated when turning this thing off will be the amount of energy that has to be dissipated divided by the time it takes to do that so it is 125 times ten to the three joule of energy that’s what we calculated in part b and that has to be dissipated within 80 milli-seconds so that’s a power of 1.56 Mega-watts. That’s a massive amount of power and so that’s very difficult to turn off this research inductor in only 80 milli-seconds, it will probably need to actually take longer coz it will be difficult to transfer this amount of heat energy away from it in such a smaller time.