Question
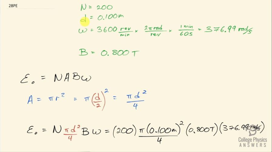
Calculate the peak voltage of a generator that rotates its 200-turn, 0.100 m diameter coil at 3600 rpm in a 0.800 T field.
Final Answer
Solution video
OpenStax College Physics, Chapter 23, Problem 28 (Problems & Exercises)

vote with a rating of
votes with an average rating of
.
Calculator Screenshots
Video Transcript
This is College Physics Answers with Shaun Dychko. We want to know the peak voltage of a generator that has 200 turns in an armature that is circular with a diameter of 0.100 meters and a rotational velocity of 3600 rpm, which is revolutions per minute and this has to be converted into radians per second in order to use in our formulas that radians per second is an mks unit— meters, kilograms, seconds. So we multiply the 3600 revolutions per minute by 2π radians for every revolution because 2π is the number of radians in a full circle and then multiplied by 1 minute for every 60 seconds and we end up with radians per second that is 376.99 radians per second and I take care of this unit conversion in this first step where we are recording the information that we know just to take care of it and we don't have to think about it later and we are free later to use our brain power to do algebra and figure out what equations to use and so on. So the magnetic field strength we are told is 0.800 tesla so the peak voltage is the number of turns multiplied by the area of the coils that are rotating and then multiply by the magnetic field strength and the angular velocity. So the area since it's a circular set of coils, which is also called an armature is π times radius squared the radius is half the diameter so we substitute that in for r and we have π times diameter squared over 4. Then we substitute that in for area and we do that here in red so the peak voltage then is 200 turns times π times 0.100 meter—diameter— squared over 4 times 0.800 tesla times 376.99 radians per second and the peak voltage would be 474 volts.