Question
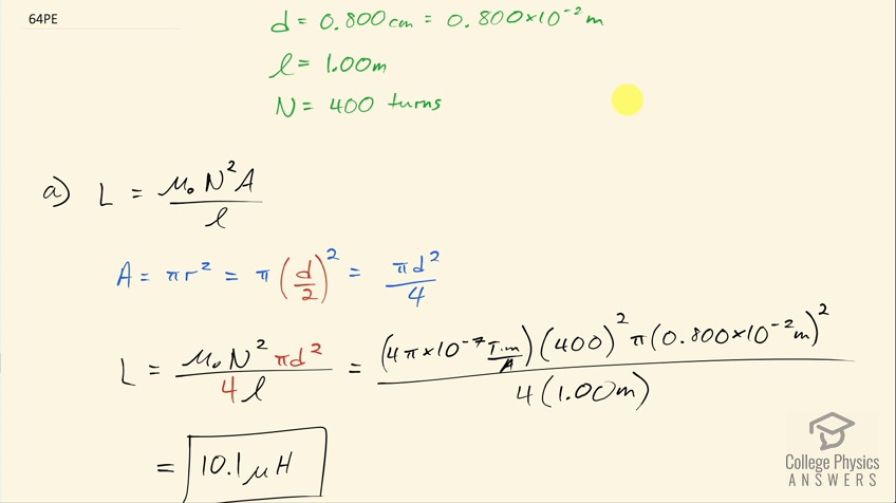
The heating coils in a hair dryer are 0.800 cm in diameter, have a combined length of 1.00 m, and a total of 400 turns. (a) What is their total self-inductance assuming they act like a single solenoid? (b) How much energy is stored in them when 6.00 A flows? (c) What average emf opposes shutting them off if this is done in 5.00 ms (one-fourth of a cycle for 50 Hz AC)?
Final Answer
Solution video
OpenStax College Physics, Chapter 23, Problem 64 (Problems & Exercises)

vote with a rating of
votes with an average rating of
.
Calculator Screenshots
Video Transcript
This is College Physics Answers with Shaun Dychko. The coils of the heating element in a hair dryer have a diameter of 0.800 centimeters and that is the space in the interior of the coil, it's not the diameter of the wire itself but rather this space here so this diameter here is what's being measured here and that's 0.800 times 10 to the minus 2 meters, the length of coil is 1.00 meter and there are 400 turns in the coil. Question (a) asks for the self-inductance of the coil assuming it's like a solenoid so that's the permeability of free space times the number of turns squared times the cross-sectional area divided by its length. It's cross-sectional area is the area of a circle, which is π times radius squared; we are given the diameter though so we substitute diameter divided by 2 in place of radius, this works out to π times diameter squared over 4 we substitute that in for area and we get this line here. So the inductance then is 4π times 10 to the minus 7 tesla meters per amp times 400 squared times π times 0.800 times 10 to the minus 2 meters squared divided by 4 times 1.00 meter and that's 10.1 microhenries. Part (b) asks us for the energy stored in this inductor and that's one-half times its inductance multiplied by the current going through it squared. So that's one-half times 1.010647 times 10 to the minus 5 henries keeping lots of digits in this intermediate calculation in order to avoid intermediate rounding error— we don't round answers until final answers— and then multiply that by 6.00 amps squared and that is 1.82 times 10 to the minus 4 joules of energy. Part (c) asks if this hair dryer is turned off within 5.00 milliseconds, what will the induced emf be in the coils? So that's gonna be the inductance of the coils multiplied by the rate of change of current. So that's 1.010647 times 10 to the minus 5 henries times 6.00 amps is the change in the current because it goes from 6.00 to 0 so the change is 6.00 and we divide that by 5.00 milliseconds written as 5.00 times 10 to the minus 3 seconds and this works out to 12.1 millivolts.