Question
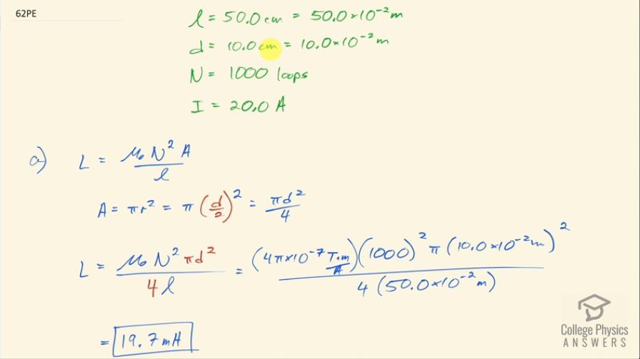
(a) Calculate the self-inductance of a 50.0 cm long, 10.0 cm diameter solenoid having 1000 loops. (b) How much energy is stored in this inductor when 20.0 A of current flows through it? (c) How fast can it be turned off if the induced emf cannot exceed 3.00 V?
Final Answer
Solution video
OpenStax College Physics, Chapter 23, Problem 62 (Problems & Exercises)

vote with a rating of
votes with an average rating of
.
Calculator Screenshots
Video Transcript
This is College Physics Answers with Shaun Dychko. A solenoid is 50.0 centimeters long, which is 50.0 times 10 to the minus 2 meters and it has a diameter of 10.0 centimeters with 1000 loops of wire and a current going through it initially of 20.0 amps and the question in part (a) is what is the self-inductance of this solenoid? And the formula for that is permeability of free space times the number of turns squared times the cross-sectional area of the solenoid divided by its length. Its area is gonna be π times the radius squared but we are given the diameter so we have to divide that by 2 in place of r so we substitute d over 2 and this works out to π times d squared over 4. So we substitute that in for area in our formula for self-inductance and so the self-inductance then is 4π times 10 to the minus 7 tesla meters per amp times 1000 turns squared times π times 10.0 times 10 to the minus 2 meters squared divided by 4 times 50.0 times 10 to the minus 2 meters, this works out to 19.7 millihenries. Part (b) asks for the amount of energy stored in the solenoid so that's one-half times its self-inductance times the current squared. So that's one-half times—the answer for part (a)—0.0197392 henries times 20.0 amps squared and that is 3.95 joules. Part (c) says suppose there's a limit on what the induced emf should be when the current is turned off and the limit is 3.00 volts... how quickly can the current be turned off in that case? So the induced emf will be the self-inductance times the change in current divided by this change in time and we want to solve for Δt so we multiply both sides by Δt over induced emf. So the time then is the self-inductance times the change in current divided by the emf that is intended, which is 3.00 volts. So that's the inductance there times 20.0 amp current because it goes from 20.0 to 0 so the change is 20.0 amps divided by 3.00 and this is 0.132 seconds. So if the current was turned off quicker than this then the emf would be higher than 3.00 volts; in other words, if the time was reduced the denominator of this fraction would be smaller and the quotient then would be bigger and the induced emf would be bigger if the time was smaller. So anyway... that's the shortest time possible.