Question
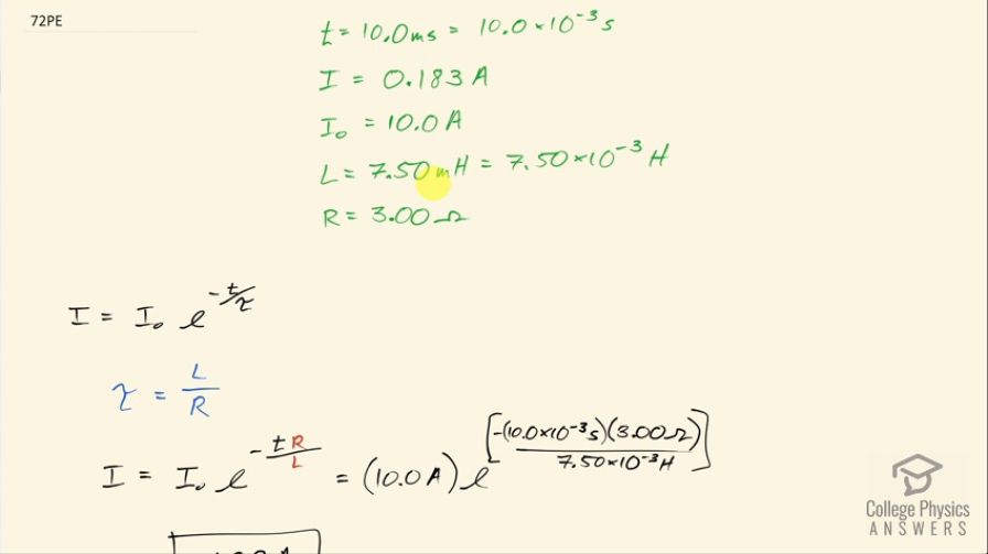
Verify that after a time of 10.0 ms, the current for the situation considered in Example 23.9 will be 0.183 A as stated.
Final Answer
Yes, the current will be after 10.0 ms.
Solution video
OpenStax College Physics, Chapter 23, Problem 72 (Problems & Exercises)

vote with a rating of
votes with an average rating of
.
Calculator Screenshots
Video Transcript
This is College Physics Answers with Shaun Dychko. Given a circuit that initially has a current of 10.0 amps and an inductor with inductance of 7.50 millihenries, which is 7.50 times 10 to the minus 3 henries and a resistance of 3.00 ohms, we are going to verify that the current is 0.183 amps 10.0 milliseconds after the battery is removed from the circuit or a switch is switched such that the battery is disconnected. So the current will be the initial current times e to the power of negative time divided by the characteristic time constant τ and this τ equals the inductance divided by the resistance so we can substitute this in here and since we are dividing by τ, I am going to instead multiply by its reciprocal so I am multiplying by R over L and so we have our formula for current then is I naughte to the negative tR over L. So that's 10.0 amps times e to the power of negative 10.0 times 10 to the minus 3 seconds times 3.00 ohms divided by 7.50 times 10 to the minus 3 henries and all of this is the exponent for e and this works out to 0.183 amps as we expected.