Question
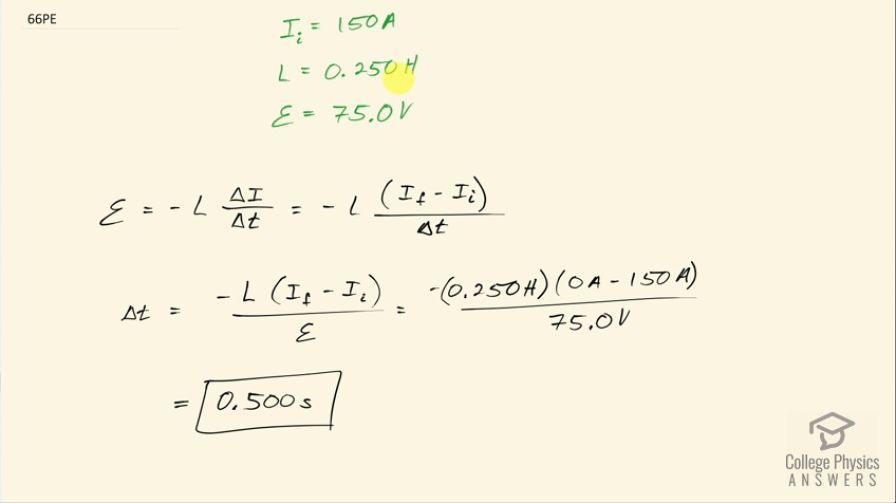
How fast can the 150 A current through a 0.250 H inductor be shut off if the induced emf cannot exceed 75.0 V?
Final Answer
Solution video
OpenStax College Physics, Chapter 23, Problem 66 (Problems & Exercises)

vote with a rating of
votes with an average rating of
.
Calculator Screenshots
Video Transcript
This is College Physics Answers with Shaun Dychko. So there's 150 amps of current through a 0.250 henry inductor and it's going to be turned off in some amount of time that we have to calculate such that the induced emf is at a maximum of 75.0 volts. So the induced emf is the inductance times the change in current divided by the change in time and there's a negative sign here to indicate the direction of the emf such that it's going to oppose the change so when the current is dropping, the emf will be in a direction to try and maintain the current and keep it in order to oppose the loss of it. So this change in current is the final current minus the initial current and we are gonna solve this for Δt and multiply both sides by Δt over emf. So the time... the minimum amount of time that's possible is the inductance times the change in current over the emf so that's 0.250 henries times 0 amps—final current—minus 150 amps—initial current— divided by 75.0 volts and this works out to 0.500 seconds. If it shuts off any faster than this then the emf will exceed 75.0 but it could shut off slower than this.