Question
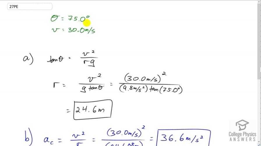
  1. What is the radius of a bobsled turn banked at 75.0° and taken at 30.0 m/s, assuming it is ideally banked?
  2. Calculate the centripetal acceleration.
  3. Does this acceleration seem large to you?
Question by OpenStax is licensed under CC BY 4.0
Final Answer

a) 24.6 m24.6 \textrm{ m}

b) 36.6 m/s236.6 \textrm{ m/s}^2

c) ac=3.7ga_c = 3.7g. This seems reasonable as it would not cause injury.

Solution video

OpenStax College Physics, Chapter 6, Problem 27 (Problems & Exercises)

OpenStax College Physics, Chapter 6, Problem 27 (PE) video thumbnail

In order to watch this solution you need to have a subscription.

Start free trial Log in
vote with a rating of votes with an average rating of .

Calculator Screenshots

  • OpenStax College Physics, Chapter 6, Problem 27 (PE) calculator screenshot 1
Video Transcript
This is College Physics Answers with Shaun Dychko. We begin by writing down the information we're given. We're told that the curve the bobsledder goes around is banked at an angle of 75 degrees and they proceed at 30 meters per second. The tangent of the ideal banking angle is equal to the speed squared divided by the radius of curvature, times the acceleration due to gravity. We can rearrange this to solve for r by multiplying both sides by r over tan theta. On the left the tangents cancel and on the right the r's cancel and we're left with r equals v squared over g tan theta. So that's 30 meters per second squared divided by 9.8 meters per second squared times tangent of 75. This gives 24.6 meters must be the radius of curvature. The centripetal acceleration that the bobsledder will experience is v squared over r, so that's 30 meters per second squared divided by this radius we just calculated, 24.608 meters. That's 36.6 meters per second squared. Part C asks us if this centripetal acceleration is reasonable and so to get some perspective on it, we'll divide it by a number that we're familiar with which is g, the acceleration due to gravity and see how many times this is compared to g. So 36.6 divided by 9.8 is 3.7. So, the acceleration that this bobsledder experiences is greater than acceleration due to gravity by a factor of 3.7. That seems reasonable because that should not cause injury.

Comments

Hello Shaun,

I've noticed in a few other problems where you divide the denominator differently. I am confused as to when we should be doing our calculations as you have done above because the equation to find r= v^2/Tan(theta)g . Thanks.

Hi Seyda,
Thank you, this is a good question. The issue is about personal preference about how to enter division into the calculator, and there are two ways which are equally correct. The way I do it is perhaps a bit lazier since I prefer not to enter brackets to surround several factors in the denominator. Instead, I divide separately by each factor in the denominator. Perhaps it's best to illustrate with an example: 122×3\dfrac{12}{2 \times 3} can be entered into the calculator as either:
option 1 (which I think might be your preference): 12 / ( 2 * 3 ), or option 2 (the way I usually do it): 12 / 2 / 3. Both techniques give the same answer of 2, and the difference is entirely personal preference. Option 1 requires pressing buttons eight times to enter the expression, whereas option 2 requires only 6 button presses. The calculator follows standard order of operations, which is often taught as BEDMAS, but this acronym is slightly misleading in this context since it suggests D comes before M, whereas in fact consecutive division and multiplication statements are evaluated left to right.

Hope this helps,
Shaun