Solution video
OpenStax College Physics, Chapter 6, Problem 4 (Problems & Exercises)

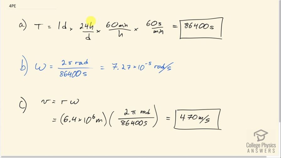
Calculator Screenshots
Comments
For part C. Quick question, why would we not use 360 in the place of change of theta instead of 2 (π)? Thank you in advance.
Hi phillipmoreno,
Thank you for the question. Degrees are not considered mks units. mks refers to meters, kilograms, seconds, which are the units needed for formulas. Another way to look at it is that, since radians are the ratio of the distance traveled along the edge of a circle divided by the circle's radius, radians tell you how many radii have been traveled (the name radians could instead be expressed "number of radii". radians is saying 6.28 radii in other words). When we divide the "number of radii" travelled by time, we get units of "radii per second", which then gets multiplied by "meters per radius", arriving at "meters per second". I'm putting strange units in quotes there, but I'm trying to help conceptualize the meaning of radians, and why they're helpful in formulas.
All the best,
Shaun