Question
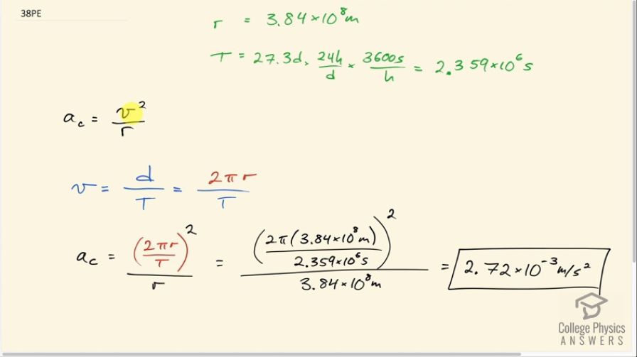
Calculate the centripetal acceleration needed to keep the Moon in its orbit (assuming a circular orbit about a fixed Earth) using the formula . This is based on part (b) of Example 6.6
Final Answer
Solution video
OpenStax College Physics, Chapter 6, Problem 38 (Problems & Exercises)

vote with a rating of
votes with an average rating of
.
Calculator Screenshots
Video Transcript
This is College Physics Answers with Shaun Dychko. We are going to calculate the centripetal acceleration of the moon given the formula v squared over r. So v is the speed of the moon and we need to know the distance that it travels divided by the time it takes to travel it and it travels a complete circle which is 2π times the radius of that circle in 27.3 days. So this is the period of the orbit of the moon and there's the orbital radius. So we have the circumference of that orbit divided by the total time it takes to do the orbit and that's the speed. So we plug that in for v and then we square it and then divide by r to get the centripetal acceleration. So that's 2π times 3.84 times 10 to the 8 meters divided by 2.359 times 10 to the 6 seconds after you convert 27.3 days into seconds and square that result then divide by 3.84 times 10 to the 8 meters and you get 2.72 times 10 to the minus 3 meters per second squared.