Chapter 6

Chapter thumbnail
This Australian Grand Prix Formula 1 race car moves in a circular path as it makes the turn. Its wheels also spin rapidly—the latter completing many revolutions, the former only part of one (a circular arc). The same physical principles are involved in each.

Chapter 6 : Uniform Circular Motion and Graviation - all with Video Solutions

Problems & Exercises

Section 6.1: Rotation Angle and Angular Velocity

Problem 1

Semi-trailer trucks have an odometer on one hub of a trailer wheel. The hub is weighted so that it does not rotate, but it contains gears to count the number of wheel revolutions—it then calculates the distance traveled. If the wheel has a 1.15 m diameter and goes through 200,000 rotations, how many kilometers should the odometer read?

View solution

Problem 2

Microwave ovens rotate at a rate of about 6 rev/min. What is this in revolutions per second? What is the angular velocity in radians per second?

View solution

Problem 3

An automobile with 0.260 m radius tires travels 80,000 km before wearing them out. How many revolutions do the tires make, neglecting any backing up and any change in radius due to wear?

View solution

Problem 4

(a) What is the period of rotation of Earth in seconds? (b) What is the angular velocity of Earth? (c) Given that Earth has a radius of 6.4×106 m6.4 \times 10^{6}\textrm{ m} at its equator, what is the linear velocity at Earth's surface?

View solution

Problem 5

A baseball pitcher brings his arm forward during a pitch, rotating the forearm about the elbow. If the velocity of the ball in the pitcher's hand is 35.0 m/s and the ball is 0.300 m from the elbow joint, what is the angular velocity of the forearm?

View solution

Problem 6

In lacrosse, a ball is thrown from a net on the end of a stick by rotating the stick and forearm about the elbow. If the angular velocity of the ball about the elbow joint is 30.0 rad/s and the ball is 1.30 m from the elbow joint, what is the velocity of the ball?

View solution

Problem 7

A truck with 0.420-m-radius tires travels at 32.0 m/s. What is the angular velocity of the rotating tires in radians per second? What is this in rev/min?

View solution

Problem 8

Integrated Concepts When kicking a football, the kicker rotates his leg about the hip joint. (a) If the velocity of the tip of the kicker's shoe is 35.0 m/s and the hip joint is 1.05 m from the tip of the shoe, what is the shoe tip's angular velocity? (b) The shoe is in contact with the initially stationary 0.500 kg football for 20.0 ms. What average force is exerted on the football to give it a velocity of 20.0 m/s? (c) Find the maximum range of the football, neglecting air resistance.

View solution

Section 6.2: Centripetal Acceleration

Problem 10

A fairground ride spins its occupants inside a flying saucer-shaped container. If the horizontal circular path the riders follow has an 8.00 m radius, at how many revolutions per minute will the riders be subjected to a centripetal acceleration whose magnitude is 1.50 times that due to gravity?

View solution

Problem 11

A runner taking part in the 200 m dash must run around the end of a track that has a circular arc with a radius of curvature of 30 m. If he completes the 200 m dash in 23.2 s and runs at constant speed throughout the race, what is the magnitude of his centripetal acceleration as he runs the curved portion of the track?

View solution

Problem 12

Taking the age of Earth to be about 4×1094\times 10^{9} years and assuming its orbital radius of 1.5×1011 m1.5 \times 10^{11} \textrm{ m} has not changed and is circular, calculate the approximate total distance Earth has traveled since its birth (in a frame of reference stationary with respect to the Sun).

View solution

Problem 13

The propeller of a World War II fighter plane is 2.30 m in diameter.

  1. What is its angular velocity in radians per second if it spins at 1200 rev/min?
  2. What is the linear speed of its tip at this angular velocity if the plane is stationary on the tarmac?
  3. What is the centripetal acceleration of the propeller tip under these conditions? Calculate it in meters per second squared and convert to multiples of gg.

View solution

Problem 14

An ordinary workshop grindstone has a radius of 7.50 cm and rotates at 6500 rev/min. (a) Calculate the magnitude of the centripetal acceleration at its edge in meters per second squared and convert it to multiples of gg. (b) What is the linear speed of a point on its edge?

View solution

Problem 15

Helicopter blades withstand tremendous stresses. In addition to supporting the weight of a helicopter, they are spun at rapid rates and experience large centripetal accelerations, especially at the tip.

  1. Calculate the magnitude of the centripetal acceleration at the tip of a 4.00 m long helicopter blade that rotates at 300 rev/min.
  2. Compare the linear speed of the tip with the speed of sound (taken to be 340 m/s).

View solution

Problem 16

Olympic ice skaters are able to spin at about 5 rev/s. (a) What is their angular velocity in radians per second? (b) What is the centripetal acceleration of the skater's nose if it is 0.120 m from the axis of rotation? (c) An exceptional skater named Dick Button was able to spin much faster in the 1950s than anyone since—at about 9 rev/ s. What was the centripetal acceleration of the tip of his nose, assuming it is at 0.120 m radius?

View solution

Problem 17

What percentage of the acceleration at Earth's surface is the acceleration due to gravity at the position of a satellite located 300 km above Earth?

View solution

Problem 18

Verify that the linear speed of an ultracentrifuge is about 0.50 km/s, and Earth in its orbit is about 30 km/s by calculating: (a) The linear speed of a point on an ultracentrifuge 0.100 m from its center, rotating at 50,000 rev/min. (b) The linear speed of Earth in its orbit about the Sun (use data from the text on the radius of Earth's orbit and approximate it as being circular).

View solution

Problem 19

A rotating space station is said to create “artificial gravity”—a loosely-defined term used for an acceleration that would be crudely similar to gravity. The outer wall of the rotating space station would become a floor for the astronauts, and centripetal acceleration supplied by the floor would allow astronauts to exercise and maintain muscle and bone strength more naturally than in non-rotating space environments. If the space station is 200 m in diameter, what angular velocity would produce an “artificial gravity” of 9.80</span> m/s29.80 </span>\textrm{ m/s}^2 at the rim?

View solution

Problem 20

At takeoff, a commercial jet has a 60.0 m/s speed. Its tires have a diameter of 0.850 m. (a) At how many rev/min are the tires rotating? (b) What is the centripetal acceleration at the edge of the tire? (c) With what force must a determined 1.00×1015 kg1.00 \times 10^{-15}\textrm{ kg} bacterium cling to the rim? (d) Take the ratio of this force to the bacterium's weight.

View solution

Problem 21

Riders in an amusement park ride shaped like a Viking ship hung from a large pivot are rotated back and forth like a rigid pendulum. Sometime near the middle of the ride, the ship is momentarily motionless at the top of its circular arc. The ship then swings down under the influence of gravity.

  1. Assuming negligible friction, find the speed of the riders at the bottom of its arc, given the system's center of mass travels in an arc having a radius of 14.0 m and the riders are near the center of mass.
  2. What is the centripetal acceleration at the bottom of the arc?
  3. Draw a free body diagram of the forces acting on a rider at the bottom of the arc.
  4. Find the force exerted by the ride on a 60.0 kg rider and compare it to her weight.
  5. Discuss whether the answer seems reasonable.

View solution

Problem 22

A mother pushes her child on a swing so that his speed is 9.00 m/s at the lowest point of his path. The swing is suspended 2.00 m above the child's center of mass. (a) What is the magnitude of the centripetal acceleration of the child at the low point? (b) What is the magnitude of the force the child exerts on the seat if his mass is 18.0 kg? (c) What is unreasonable about these results? (d) Which premises are unreasonable or inconsistent?

View solution

Section 6.3: Centripetal Force

Problem 23

  1. A 22.0 kg child is riding a playground merry-go-round that is rotating at 40.0 rev/min. What centripetal force must she exert to stay on if she is 1.25 m from its center?
  2. What centripetal force does she need to stay on an amusement park merry-go-round that rotates at 3.00 rev/min if she is 8.00 m from its center?
  3. Compare each force with her weight.

View solution

Problem 24

Calculate the centripetal force on the end of a 100 m (radius) wind turbine blade that is rotating at 0.5 rev/s. Assume the mass is 4 kg.

View solution

Problem 25

What is the ideal banking angle for a gentle turn of 1.20 km radius on a highway with a 105 km/h speed limit (about 65 mi/h), assuming everyone travels at the limit?

View solution

Problem 27

  1. What is the radius of a bobsled turn banked at 75.0° and taken at 30.0 m/s, assuming it is ideally banked?
  2. Calculate the centripetal acceleration.
  3. Does this acceleration seem large to you?

View solution

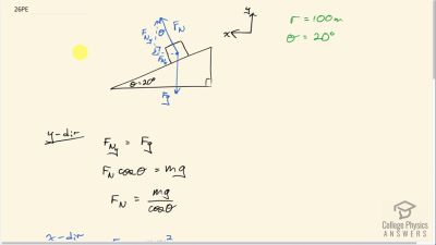
Problem 28

Part of riding a bicycle involves leaning at the correct angle when making a turn, as seen in Figure 6.36. To be stable, the force exerted by the ground must be on a line going through the center of gravity. The force on the bicycle wheel can be resolved into two perpendicular components—friction parallel to the road (this must supply the centripetal force), and the vertical normal force (which must equal the system's weight). (a) Show that θ\theta (as defined in the figure) is related to the speed vv and radius of curvature rr of the turn in the same way as for an ideally banked roadway—that is, θ=tan1v2rg\theta = \tan^-1{\dfrac{v^2}{rg}} (b) Calculate θ\theta for a 12.0 m/s turn of radius 30.0 m (as in a race).

View solution

Problem 29

A large centrifuge, like the one shown in Figure 6.37 (a), is used to expose aspiring astronauts to accelerations similar to those experienced in rocket launches and atmospheric reentries. (a) At what angular velocity is the centripetal acceleration 10g10g if the rider is 15.0 m from the center of rotation? (b) The rider's cage hangs on a pivot at the end of the arm, allowing it to swing outward during rotation as shown in Figure 6.37 (b). At what angle θ\theta below the horizontal will the cage hang when the centripetal acceleration is 10g10g? (Hint: The arm supplies centripetal force and supports the weight of the cage. Draw a free body diagram of the forces to see what the angle θ\theta should be.)

View solution

Problem 30

If a car takes a banked curve at less than the ideal speed, friction is needed to keep it from sliding toward the inside of the curve (a real problem on icy mountain roads). (a) Calculate the ideal speed to take a 100 m radius curve banked at 15.015.0^\circ. (b) What is the minimum coefficient of friction needed for a frightened driver to take the same curve at 20.0 km/h?

View solution

Problem 31

Modern roller coasters have vertical loops like the one shown in Figure 6.38. The radius of curvature is smaller at the top than on the sides so that the downward centripetal acceleration at the top will be greater than the acceleration due to gravity, keeping the passengers pressed firmly into their seats. What is the speed of the roller coaster at the top of the loop if the radius of curvature there is 15.0 m and the downward acceleration of the car is 1.50 g?

View solution

Problem 32

(a) Calculate the minimum coefficient of friction needed for a car to negotiate an unbanked 50.0 m radius curve at 30.0 m/ s. (b) What is unreasonable about the result? (c) Which premises are unreasonable or inconsistent?

View solution

Section 6.5: Newton's Universal Law of Gravitation

Problem 33

(a) Calculate Earth's mass given the acceleration due to gravity at the North Pole is 9.830 m/s29.830 \textrm{ m/s}^2 and the radius of the Earth is 6371 km from center to pole. (b) Compare this with the accepted value of 5.979×1024 kg5.979 \times 10^{24} \textrm{ kg}.

View solution

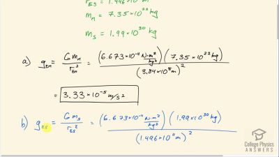
Problem 34

(a) Calculate the magnitude of the acceleration due to gravity on the surface of Earth due to the Moon. (b) Calculate the magnitude of the acceleration due to gravity at Earth due to the Sun. (c) Take the ratio of the Moon's acceleration to the Sun's and comment on why the tides are predominantly due to the Moon in spite of this number.

View solution

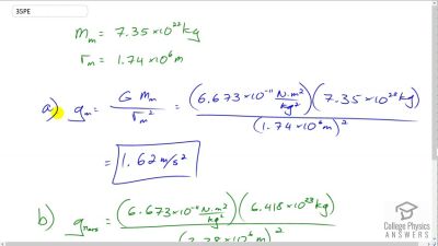
Problem 35

(a) What is the acceleration due to gravity on the surface of the Moon? (b) On the surface of Mars? The mass of Mars is 6.418×1023 kg6.418 \times 10^{23} \textrm{ kg} and its radius is 3.38 \times 10^6&nbsp;\textrm{ m} .

View solution

Problem 36

(a) Calculate the acceleration due to gravity on the surface of the Sun. (b) By what factor would your weight increase if you could stand on the Sun? (Never mind that you cannot.)

View solution

Problem 37

The Moon and Earth rotate about their common center of mass, which is located about 4700 km from the center of Earth. (This is 1690 km below the surface.) (a) Calculate the magnitude of the acceleration due to the Moon's gravity at that point. (b) Calculate the magnitude of the centripetal acceleration of the center of Earth as it rotates about that point once each lunar month (about 27.3 d) and compare it with the acceleration found in part (a). Comment on whether or not they are equal and why they should or should not be.

View solution

Problem 38

Calculate the centripetal acceleration needed to keep the Moon in its orbit (assuming a circular orbit about a fixed Earth) using the formula a=v2ra = \dfrac{v^2}{r}. This is based on part (b) of Example 6.6

View solution

Problem 39

Astrology, that unlikely and vague pseudoscience, makes much of the position of the planets at the moment of one's birth. The only known force a planet exerts on Earth is gravitational. (a) Calculate the magnitude of the gravitational force exerted on a 4.20 kg baby by a 100 kg father 0.200 m away at birth (he is assisting, so he is close to the child). (b) Calculate the magnitude of the force on the baby due to Jupiter if it is at its closest distance to Earth, some 6.29×1011 m6.29 \times 10^{11} \textrm{ m} away. How does the force of Jupiter on the baby compare to the force of the father on the baby? Other objects in the room and the hospital building also exert similar gravitational forces. (Of course, there could be an unknown force acting, but scientists first need to be convinced that there is even an effect, much less that an unknown force causes it.)

View solution

Problem 40

The existence of the dwarf planet Pluto was proposed based on irregularities in Neptune's orbit. Pluto was subsequently discovered near its predicted position. But it now appears that the discovery was fortuitous, because Pluto is small and the irregularities in Neptune's orbit were not well known. To illustrate that Pluto has a minor effect on the orbit of Neptune compared with the closest planet to Neptune: (a) Calculate the acceleration due to gravity at Neptune due to Pluto when they are 4.50×1012 m4.50\times 10^{12}\textrm{ m} apart, as they are at present. The mass of Pluto is 1.4×1022 kg1.4\times 10^{22}\textrm{ kg}. (b) Calculate the acceleration due to gravity at Neptune due to Uranus, presently about 2.50×1012 m2.50\times 10^{12}\textrm{ m} apart, and compare it with that due to Pluto. The mass of Uranus is 8.62×1025 kg8.62\times 10^{25}\textrm{ kg}.

View solution

Problem 41

(a) The Sun orbits the Milky Way galaxy once each 2.60×108 y2.60 \times 10^8 \textrm{ y}, with a roughly circular orbit averaging 3.00×1043.00 \times 10^4 light years in radius. (A light year is the distance traveled by light in 1 y.) Calculate the centripetal acceleration of the Sun in its galactic orbit. Does your result support the contention that a nearly inertial frame of reference can be located at the Sun? (b) Calculate the average speed of the Sun in its galactic orbit. Does the answer surprise you?

View solution

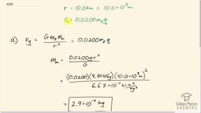
Problem 42

A mountain 10.0 km from a person exerts a gravitational force on him equal to 2.00% of his weight. (a) Calculate the mass of the mountain. (b) Compare the mountain's mass with that of Earth. (c) What is unreasonable about these results? (d) Which premises are unreasonable or inconsistent? (Note that accurate gravitational measurements can easily detect the effect of nearby mountains and variations in local geology.)

View solution

Section 6.6: Satellites and Kepler's Laws: An Argument for Simplicity

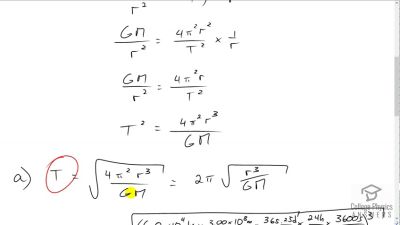
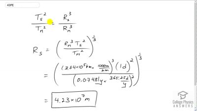
Problem 43

A geosynchronous Earth satellite is one that has an orbital period of precisely 1 day. Such orbits are useful for communication and weather observation because the satellite remains above the same point on Earth (provided it orbits in the equatorial plane in the same direction as Earth's rotation). Calculate the radius of such an orbit based on the data for the moon in Table 6.2.

View solution

Problem 47

Astronomical observations of our Milky Way galaxy indicate that it has a mass of about 8.0×10118.0 \times 10^{11} solar masses. A star orbiting on the galaxy's periphery is about 6.0×1046.0 \times 10^4 light years from its center. (a) What should the orbital period of that star be? (b) If its period is 6.0×107 y6.0 \times 10^7 \textrm{ y} instead, what is the mass of the galaxy? Such calculations are used to imply the existence of “dark matter” in the universe and have indicated, for example, the existence of very massive black holes at the centers of some galaxies.

View solution

Problem 48

Space debris left from old satellites and their launchers is becoming a hazard to other satellites. (a) Calculate the speed of a satellite in an orbit 900 km above Earth's surface. (b) Suppose a loose rivet is in an orbit of the same radius that intersects the satellite's orbit at an angle of 9090^\circ relative to Earth. What is the velocity of the rivet relative to the satellite just before striking it? (c) Given the rivet is 3.00 mm in size, how long will its collision with the satellite last? (d) If its mass is 0.500 g, what is the average force it exerts on the satellite? (e) How much energy in joules is generated by the collision? (The satellite's velocity does not change appreciably, because its mass is much greater than the rivet's.)

View solution

Problem 49

(a) Based on Kepler's laws and information on the orbital characteristics of the Moon, calculate the orbital radius for an Earth satellite having a period of 1.00 h. (b) What is unreasonable about this result? (c) What is unreasonable or inconsistent about the premise of a 1.00 h orbit?

View solution