Question
(a) Calculate the acceleration due to gravity on the surface of the Sun.
(b) By what factor would your weight increase if you could stand on the Sun? (Never mind that you cannot.)
Final Answer
Solution video
OpenStax College Physics, Chapter 6, Problem 36 (Problems & Exercises)

vote with a rating of
votes with an average rating of
.
Calculator Screenshots
Video Transcript
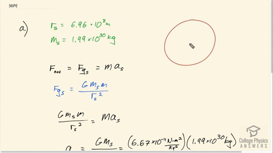
This is College Physics Answers with Shaun Dychko. We're going to calculate the acceleration due to the gravity on the sun. The first thing we need to know is that the sun has a radius of 6.96 times 10 to the 8 meters, and a mass of 1.99 times 10 to the 30 kilograms. If a person was on the surface and just barely not touching the surface so that there's no normal force. In that case, the only force then is the force due to gravity. Then in that case, they'd be free falling. They would be experiencing the acceleration due to gravity because of the sun. The net force on them, in other words, is the force of gravity exerted by the sun, which is their mass times the acceleration due to the sun. The force of gravity is the gravitational constant multiplied by the mass of the sun times the mass of the person divided by the radius of the sun squared. We can equate these two. The mass of the person cancels. We're left with the acceleration due to gravity on the sun is gravitational constant times mass of the sun divided by the radius of the sun squared. We have 6.67 times 10 to the negative 11 Newton meters squared per kilogram squared, gravitational constant times mass of the sun, divided by the sun radius squared, which is 274 meters per second squared. Now, if one was to be able to stand on the sun, the factor by which your weight would increase is going to be 28.0. Because here's the force of gravity to due to the sun, which is mass of a person divided by gravitational field strength or acceleration due to gravity, two different ways of expressing the same term. That's going to be 274 that we just calculated here, the m's cancel and divide that by the acceleration due to gravity on the earth, 9.8. The weight would be increased by a factor of 28 on the sun.