Question
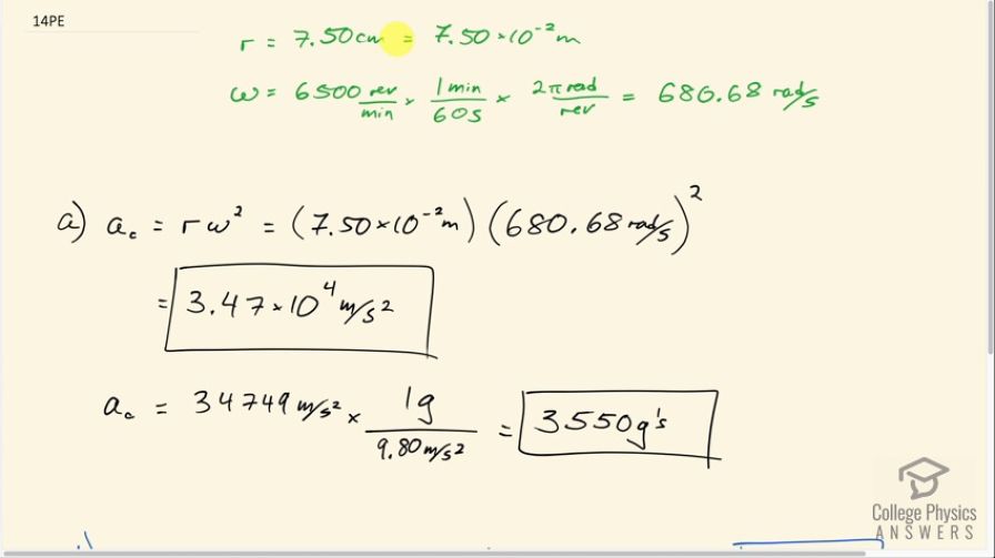
An ordinary workshop grindstone has a radius of 7.50 cm and rotates at 6500 rev/min. (a) Calculate the magnitude of the centripetal acceleration at its edge in meters per second squared and convert it to multiples of . (b) What is the linear speed of a point on its edge?
Final Answer
Solution video
OpenStax College Physics, Chapter 6, Problem 14 (Problems & Exercises)

vote with a rating of
votes with an average rating of
.
Calculator Screenshots
Video Transcript
This is College Physics Answers with Shaun Dychko. A grinding wheel has a radius of 7.5 centimeters and we convert that into meters here at this stage when we are just writing down the information that we know so that's 7.50 times 10 to the minus 2 meters because the prefix 'centa' means multiply by 10 to the minus 2. The angular speed we are told is 6500 revolutions per minute which we convert into radians per second because usually at this stage, we convert into mks units— meters, kilograms and seconds— and so we are doing that with the angular speed as well. So we multiply this revolutions per minute by 1 minute for every 60 seconds and then multiply it by 2π radians for every revolution and we are left with radians per second so we have 6500 divided by 60 multiplied by 2π and then that gives us 680.68 radians per second. Okay! So the centripetal acceleration of a point on the edge of the wheel is gonna be this radius to the edge multiplied by the angular speed squared. So that's 7.5 times 10 to the minus 2 meters times 680.68 radians per second squared giving us 3.47 times 10 to the 4 meters per second squared. Expressing that as a multiple of g, well, we take that angular... or centripetal acceleration I should say, and multiply it by 1g for every 9.8 meters per second squared and you can think of this unit as a single package and this package cancels with this identical package here so we are left with 3550 g's. The linear speed of a point on the edge is gonna be the radius times the angular speed so that's 7.50 times 10 to the minus 2 meters times 680.68 radians per second which is 51.1 meters per second.