Question
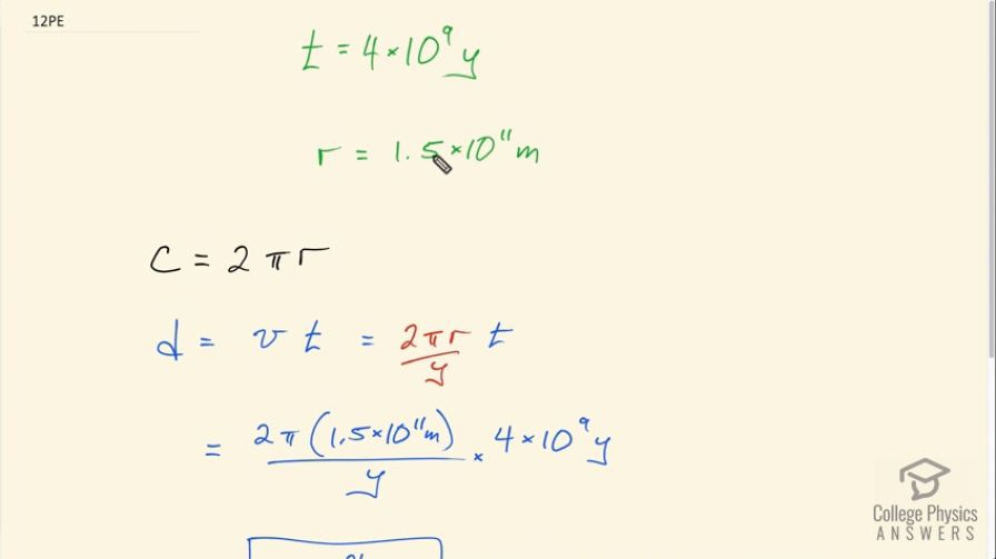
Taking the age of Earth to be about years and assuming its orbital radius of has not changed
and is circular, calculate the approximate total distance Earth has traveled since its birth (in a frame of reference stationary with respect to the Sun).
Final Answer
Solution video
OpenStax College Physics, Chapter 6, Problem 12 (Problems & Exercises)

vote with a rating of
votes with an average rating of
.
Calculator Screenshots
Video Transcript
This is College Physics Answers with Shaun Dychko. The age of the Earth is about 4 billion years old. The orbital radius or the distance from the Sun, in other words, is 1.5 times 10 to the 11 meters. The question asked us to figure out what total distance has the Earth traveled as it's gone around the sun for 4 billion years. This is the Earth going in its orbit around the sun. When it travels in one year, it'll travel the circumference of the circle, which has this radius given to us 1.5 times 10 to the 11 meters, and then in 4 billion years, what total distance would it have covered. The circumference of that circle, we assume the orbit is circular, is two pi times radius. The total distance that's traveled is the speed multiplied by time and the speed is going to be this circumference 2 pi r every year. This is an unusual set of unit for speed. Normally, we have meters per second but this time we're having meters per year, because then we're going to multiply that by years that we're given and it's going to work out with the years canceling leaving us with meters. We could've converted units into seconds if we wanted to. In any case, this is a bit easier. We have 2 pi times the orbital radius for every year. That's the distance traveled per year and multiply that by 4 billion years gives us 4 times 10 to the 21 meters.