Solution video
OpenStax College Physics, Chapter 6, Problem 10 (Problems & Exercises)

Calculator Screenshots
Comments
In the calculator picture - why did you divide by 2, and then divide by pi? this provides a different answer than if you divide by 2pi (which is what the formula uses)
Hi emilysims, thank you for the question, and good careful observation. It turns out there is no mistake. I could have put brackets around the denominator and multiplied 2 and pi together, which I think is that you're expecting. That would also give the correct answer and more visually resemble the formula. The calculator evaluates left-to-right, so it finds the result of the left part before going on to the next operation, assuming that each operation has the same precedence. For a concrete example, consider . That could be entered in the calculator as "6 / 2 / 3" and internally the calculator will evaluate "6 / 2" first, getting an intermediate result of "3", and then it will proceed to the next operation, which will be "3 / 3" (where "3" on the top is substituted for 6 / 2") and then get the answer "1". It's just a personal preference that I enter it as "6 / 2 / 3" instead of "6 / (2 * 3)" since the former involves less button pushing for the brackets.
All the best,
Shaun
Hi Shaun! Thanks for the thorough response! I finally realized that when I put "/2pi" in my calculator - I was actually dividing by 2 and then multiplying by pi. It's been a while, and I forgot about the impact of the order of operations in this moment. Thanks!
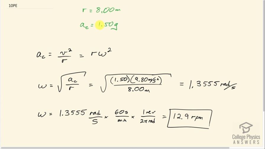
Hi shaun , how can you rewrite a=rw^2 from v^2/r on the very first step ? I don't quite understand
Hi hanjen, (equation 6.9). If we substitute for then we have where one of the 's canceled in the last step.
Hope that helps,
Shaun