Question
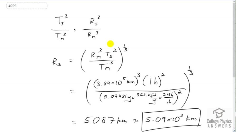
(a) Based on Kepler's laws and information on the orbital characteristics of the Moon, calculate the orbital radius for an Earth satellite having a period of 1.00 h. (b) What is unreasonable about this result? (c) What is unreasonable or inconsistent about the premise of a 1.00 h orbit?
Final Answer
This is unreasonable since the radius it is less than the Earth's radius of . A orbital period is not possible.
Solution video
OpenStax College Physics, Chapter 6, Problem 49 (Problems & Exercises)

vote with a rating of
votes with an average rating of
.
Calculator Screenshots
Video Transcript
This is College Physics Answers with Shaun Dychko. We're going to calculate the orbital radius of a satellite that has a period of one hour. So let's rearrange Kepler's Laws here to solve for R s. We have the period of the satellite squared divided by the period of the moon squared equals the radius of the satellite's orbit cubed divided by the radius of the moon's orbit cubed. I mean, I use the moon as our point of comparison in this Kepler's Law because the moon and the satellite are both orbiting around the same body, that being the earth. So we multiply both sides by radius of the moon cubed, switch the sides around and then cube root both sides and we get the radius of the satellite's orbit is radius of the moon's orbit cubed times the satellite's period squared divided by the moon period cubed, all to the power of one third because that's what cube root is as an exponent, exponent one third. So we have 3.84 times ten to the five kilometers is the radius of the moon's orbit and we'll cube that and we can leave this in kilometers because these units will cancel because we have hours in the top squared and then hours in the bottom squared and then we'll be taking the cube root of this kilometers cubed. We just have to be mindful that our answer will be in kilometers and not meters. So we multiply by one hour which is the period of the satellite's orbit squared, and divide by the period of the moon which Table 6.2 says is 0.07481 years converted into hours in order to match with the hours on the top. So times by 365 and a quarter days per year, times by 24 hours per day and square that bottom there and we get 5087 kilometers. Now, the radius of the earth is 6376 kilometers and so the satellite orbit is less than the radius of the earth which would mean the satellite would have to orbit inside the earth which obviously isn't possible, and so that means this result is not reasonable. It means that the one hour orbital period is not possible for a satellite.