Question
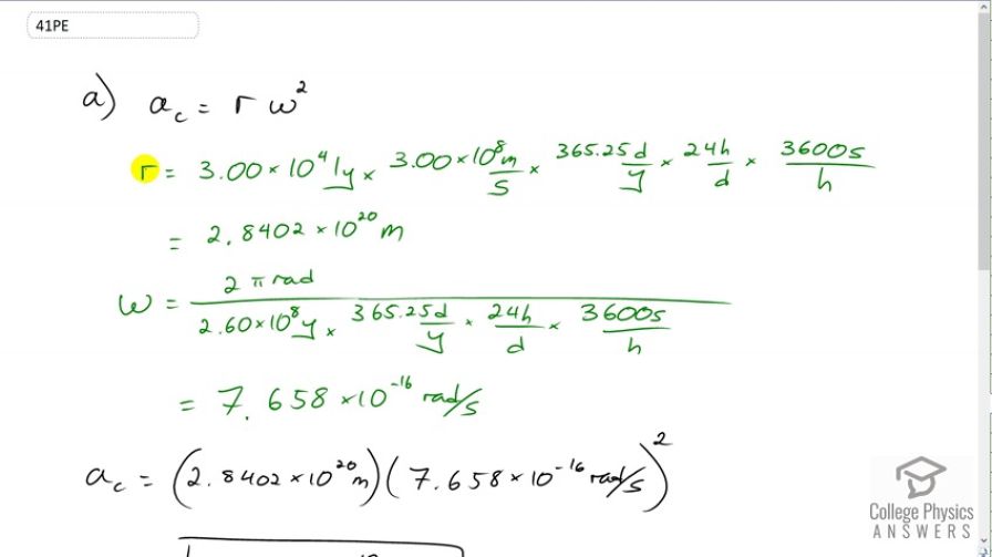
(a) The Sun orbits the Milky Way galaxy once each , with a roughly circular orbit averaging light years in radius. (A light year is the distance traveled by light in 1 y.) Calculate the centripetal acceleration of the Sun in its galactic orbit. Does your result support the contention that a nearly inertial frame of reference can be located at the Sun?
(b) Calculate the average speed of the Sun in its galactic orbit. Does the answer surprise you?
Final Answer
a)
b)
Solution video
OpenStax College Physics, Chapter 6, Problem 41 (Problems & Exercises)

vote with a rating of
votes with an average rating of
.
Calculator Screenshots
Video Transcript
This is College Physics Answers with Shaun Dychko. We're going to calculate the centripetal acceleration of the sun around the center of the Milky Way galaxy. So the distance from the sun to the center of the galaxy we have to convert from light-years into meters. So a light-year is the speed of light multiplied by a year and I've written a letter c for the speed of light because that's the letter usually used for speed of light. So we can write down speed of light times a year this way in order to make units of meters because we take the speed of light, three times ten to the eight meters per second and then multiply it by a year written in seconds and then we end up with meters. So 365 and a quarter days per year multiplied by 24 hours per day, multiplied by 3600 seconds per hour, makes these seconds cancel with these seconds, and we're left with units of meters. Then multiply all that by three times ten to the four, we get 2.8402 times ten to the twenty meters is the distance from the sun to the center of the Milky Way galaxy. Then we'll need to find the angular velocity of the sun. So we know it does one complete circle which is two pi radians every 2.6 times ten to the eight years and we want the units of omega to be in radians per second, so we need to convert the years in the denominator into seconds. So multiply by 365 and a quarter days per year and so on and so on, just as we did up there and we end up with 7.658 times ten to the minus sixteen radians per second. Then we take the distance and multiply by the angular velocity squared to get our centripetal acceleration of 1.67 times ten to the minus ten meters per second squared. that is such a small number that it does support the idea that the reference frame of the sun is not accelerating which is -- what it means to say when you have an inertial reference frame, it means that the reference frame is not accelerating because this number is so small. The linear speed of the sun around the center of the galaxy is the distance multiplied by the angular velocity and that works out to 2.18 times ten to the five meters per second which is actually a very large number but nevertheless the centripetal acceleration is small because the distance to the center is so huge.