Question
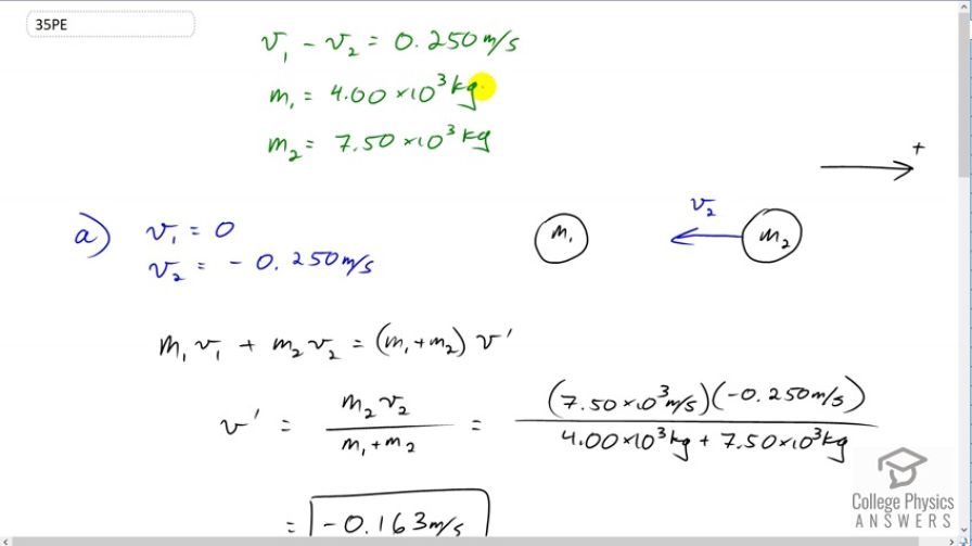
Two piloted satellites approaching one another, at a relative speed of 0.250 m/s, intending to dock. The first has a mass of 4.00×103 kg4.00 \times 10^3 \textrm{ kg}, and the second a mass of 7.50×103 kg7.50 \times 10^3 \textrm{ kg}. (a) Calculate the final velocity (after docking) by using the frame of reference in which the first satellite was originally at rest. (b) What is the loss of kinetic energy in this inelastic collision? (c) Repeat both parts by using the frame of reference in which the second satellite was originally at rest. Explain why the change in velocity is different in the two frames, whereas the change in kinetic energy is the same in both.
Question by OpenStax is licensed under CC BY 4.0
Final Answer

a) 0.163 m/s-0.163 \textrm{ m/s}

b) 81.6 J-81.6 \textrm{ J}

c) 0.0870 m/s0.0870 \textrm{ m/s}, 81.5 J-81.5 \textrm{ J}. A change in reference frame for the same event doesn't change the kinetic energy lost during the event.

Solution video

OpenStax College Physics, Chapter 8, Problem 35 (Problems & Exercises)

OpenStax College Physics, Chapter 8, Problem 35 (PE) video thumbnail

In order to watch this solution you need to have a subscription.

Start free trial Log in
vote with a rating of votes with an average rating of .

Calculator Screenshots

  • OpenStax College Physics, Chapter 8, Problem 35 (PE) calculator screenshot 1
  • OpenStax College Physics, Chapter 8, Problem 35 (PE) calculator screenshot 2
Video Transcript
This is College Physics Answers with Shaun Dychko. We have two satellites moving towards each other with a speed of 0.25 meters per second. The first satellite is mass four times ten to the three kilograms and the second has a mass of 7.5 times ten to the three kilograms. So in part A, we're told to assume that we have everything from the reference frame of satellite one. That will mean that satellite one has a speed of zero because something in its own reference frame always has zero velocity. So that means it sees the satellite two moving towards it with a velocity of negative 0.250 meters per second. It's negative just because of the way I've drawn it here. I've taken to the right to be the positive direction and I happen to draw m two on the right hand side of m one which means it must be moving towards the left in order to approach m one. So these satellites will dock which means they'll stick together. That means this is a perfectly inelastic collision. Because of that we can say that the momentum after the collision will be the total mass of the two things stuck together multiplied by this single velocity v prime which does not need a subscript one or two because there is only one velocity to speak of after they're stuck together, it's the velocity of the group. But before the collision, we have momentum of satellite one plus the momentum of satellite two -- now the momentum of satellite one will be zero because we're in the reference frame of satellite one and so it's velocity is zero, v one is zero and so this term is zero here. So we can solve for v prime to find the velocity of the two after they're stuck together by dividing both sides by this total mass, and that's what we have in this line here. So v prime is m two v two divided by m one plus m two. So that's 7.5 times ten to the three meters per second -- kilograms I should say, not meters per second -- that's the mass of m two there and then multiply by its velocity of negative 0.25 meters per second divided by the total mass. This gives negative 0.163 meters per second will be the velocity after they stick together and they'd be moving to the left. Part B asks us to find what the change in kinetic energy would be of the system after the collision. So we have the final kinetic energy minus the initial total kinetic energy. The final kinetic energy will be one half times the total mass multiplied by the velocity that they have after they stick together squared. Then minus one half m two v two squared because this is the total kinetic energy initially since satellite one is not moving and has no kinetic energy. So the total kinetic energy initially is just that of satellite two. Then we plug in numbers, so that's one half times four plus 7.5 all times ten to the three, that's kilograms, times negative 0.163 meters per second squared, minus one half times 7.5 times ten to the three kilograms times negative 0.25 meters per second, this is the initial velocity before the collision of satellite two, and we square that. This gives negative 81.6 joules. Now in part C, we make a different assumption and we assume that we're going to take the reference frame of satellite two. That means v two is zero initially and v one is 0.25 meters per second. I've drawn them in the same positions as I had in part A but now with satellite two having a velocity of zero, it means satellite one is moving to the right with a velocity 0.25. So it's going to have a positive velocity because to the right is positive. We're going to have the same conservation of momentum formula here. Satellite two now has no initial momentum and so that term becomes zero since v two is zero. We divide both sides by the total mass to solve for v prime. Maybe I should give this v some sort of way of distinguishing it, let's call it c because this is part C. This is v prime c. It's not the same as the v prime up here. It's going to be m one v one over m one plus m two. You can see that the final formula for the velocity after the collision is different in that the numerator has subscripts two in part A whereas it has subscripts one in part C. So we're going to get a different answer. So we have four times ten to the three kilograms, times 0.25 meters per second, all divided by the total mass, giving us 0.0870 meters per second and that's positive and to the right. We expect the velocity after the collision to be smaller in part C because we begin with a smaller momentum in this scenario since we have a smaller mass m one moving with v equal speed as we had in part A, whereas in part A though the mass was larger to begin with. So we had more momentum to begin with. So the total momentum is not changing, that's what this formula here is saying and so since we begin with less momentum due to a smaller mass m one, we expect a smaller final velocity after collision. Okay. Now the change in kinetic energy however will be the same. So we have the total mass multiplied by the velocity after collision squared, multiplied by half, minus one half m one v one squared. Plugging in all the numbers the same as before except this velocity after collision is smaller, and we get the same answer as before, a negative 81.5 joules. Well the answer is almost the same, the tenth place is different and I think this has to do with the way I plugged it into the calculator. I think I actually plugged in 0.163 meters per second into the calculator and that's not so good. That is an intermediate rounding error. I should have taken this answer with lots more digits to plug into this work here, whereas I do recall here plugging in lots of extra digits and having a non-rounded number here. So this negative 81.5 joules is a better answer. There we go!

Comments

Hi - I understand the calculations here, but I have a related, frame-of-reference question.

You commented at the beginning of the video that in your own frame of reference your velocity is 0.

With respect to part a. I understand how -0.163 m/s is calculated. However, I don’t quite understand how we can associate this velocity with the new, combined object since, in its frame of reference, its velocity should be 0 (per your initial comments).

I also played around with a scenario where mass1 = mass2 and, from a third-party point of view, each object is approaching the other with the same speed. When they collide, they still stick together.

From the third-person POV, the kinetic energy goes from > 0 to = 0.

I’m having a hard time coming to the same conclusion, though, when I take the POV of one of the two objects.

The only way that seems to work is if I take the velocity of the newly combined object to be 0 (which is consistent with saying your velocity is 0 in your own frame of reference).