Question
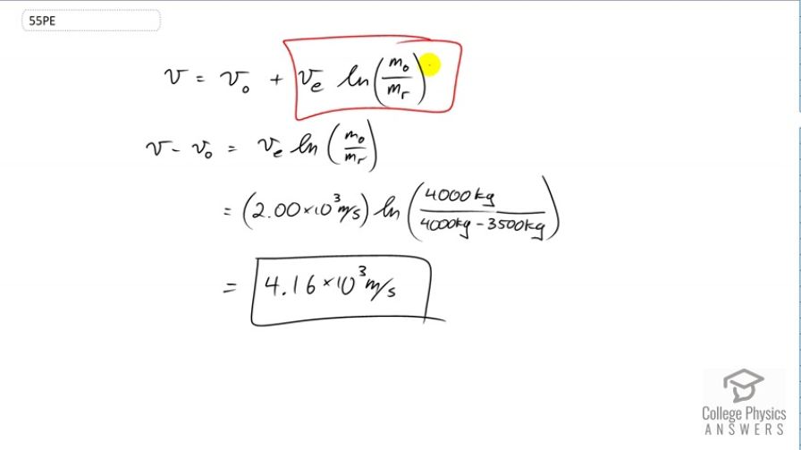
Calculate the increase in velocity of a 4000-kg space probe that expels 3500 kg of its mass at an exhaust velocity of . You may assume the gravitational force is negligible at the probe’s location.
Final Answer
Solution video
OpenStax College Physics, Chapter 8, Problem 55 (Problems & Exercises)

vote with a rating of
votes with an average rating of
.
Calculator Screenshots
Video Transcript
This is College Physic Answers with Shaun Dychko. The final speed of the rocket will be its initial speed plus this approximation for the speed that it will gain as a result of shooting out some gas. So the exhaust velocity gets multiplied by the natural logarithm of the mass of the rocket when it contains the gas, divided by the mass that's left over after it's done thrusting. Then we can subtract v naught from both sides to get the change of velocity which is what this question is asking for. So it'll be two times ten to the three meters per second exhaust velocity, times the natural logarithm of four thousand kilograms, divided by what remains after the three thousand five hundred kilograms of fuel is ejected. This makes 4.16 times ten to the three meters per second is the amount by which the rocket's velocity will change.