Question
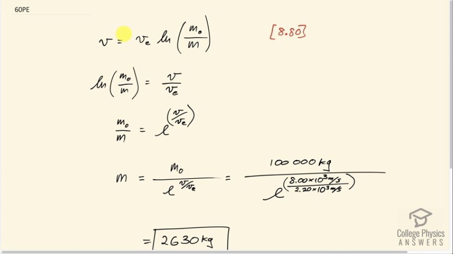
How much of a single-stage rocket that is 100,000 kg can be anything but fuel if the rocket is to have a final speed of 8.00 km/s , given that it expels gases at an exhaust velocity of ?
Final Answer
Solution video
OpenStax College Physics, Chapter 8, Problem 60 (Problems & Exercises)

vote with a rating of
votes with an average rating of
.
Calculator Screenshots
Video Transcript
This is College Physics Answers with Shaun Dychko. Using equation 80 in chapter 8, we are going to figure out how much mass of a rocket can be non-fuel so you know, the body and the equipment and the passengers and so on. This formula tells us that the final speed of the rocket equals the speed of the exhaust that comes out the engine multiplied by the natural logarithm of the initial mass of the rocket including fuel divided by mass of the rocket after the fuel is all burned. So we are gonna solve for m, in other words; that's what is leftover after the fuel is burned. So we'll divide both sides by exhaust velocity and then switch the sides around and then we'll take both sides and make them exponents for the exponential. And when we do that on the left, the exponential to the power of natural logarithm becomes just the argument of the natural logarithm so we have m o over m on the left and on the right hand side, we are left with e to the power of v over v e. And then we'll multiply both sides by m and then divide both sides by this exponential e to the v over v e and then switch the sides around and we are left with the mass of the rocket without fuel is its original total mass divided by e to the power of v over v e. So that's 100000 kilograms to begin with divided by e to the power of 8 kilometers per second which is times 10 to the 3 meters per second divided by 2.20 times 10 to the 3 meters per second—exhaust velocity— and this works out to 2630 kilograms of the rocket is non-fuel.