Question
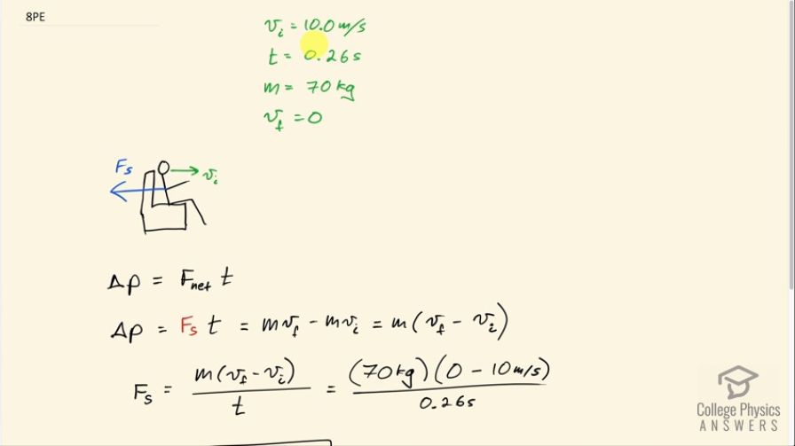
A car moving at 10 m/s crashes into a tree and stops in 0.26 s. Calculate the force the seat belt exerts on a passenger in the car to bring him to a halt. The mass of the passenger is 70 kg.
Final Answer
Solution video
OpenStax College Physics, Chapter 8, Problem 8 (Problems & Exercises)

vote with a rating of
votes with an average rating of
.
Calculator Screenshots
Video Transcript
This is College Physics Answers with Shaun Dychko. A car traveling initially at a speed of 10.0 meters per second crashes into a tree and stops within 0.26 seconds and our question is what force does the seat belt exert on this passenger assuming the passenger has a mass of 70.0 kilograms; their final velocity is zero because they come to a stop. So we don't need to be concerned with anything about the car or the tree because it's just this passenger we are concerned with and this passenger has the same initial speed that the car did— 10.0 meters per second— and the final speed is zero. Okay! So we have this formula for impulse which is the change in momentum equals the net force on something multiplied by time and the net force is the force due to the seat belt. There's no force propelling forward here and there is gravity down and there's normal force upwards but those balance... we don't need to be concerned with them. So it's just this force of the seat belt that substitutes for F net here. Then change in momentum is to say that the final momentum, mv f, minus mv i and we'll factor out the m and say m times the difference in velocities is the change in momentum. Then we can divide this by t and divide this by t and solve for the force of the seat belt so it's m times v f minus v i over t. So that's 70 kilograms times 0—final velocity—minus 10 meters per second—initial velocity— divided by 0.26 seconds which is negative 2700 newtons when you have only two significant figures as we should since this mass has only two significant figures. The negative sign... the question I don't think is really asking for it but it just indicates that the force of the seat belt is in the opposite direction to the initially positive velocity.