Question
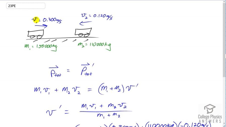
Train cars are coupled together by being bumped into one another. Suppose two loaded train cars are moving toward one another, the first having a mass of 150,000 kg and a velocity of 0.300 m/s, and the second having a mass of 110,000 kg and a velocity of . (The minus indicates direction of motion.) What is their final velocity?
Final Answer
Solution video
OpenStax College Physics, Chapter 8, Problem 23 (Problems & Exercises)

vote with a rating of
votes with an average rating of
.
Calculator Screenshots
Video Transcript
This is College Physics Answers with Shaun Dychko. This rail car with mass labeled m subscript one, has a mass of 150 thousand kilograms and it's moving to the right with a velocity of 0.3 meters per second. We'll take right to be the positive direction. The second train car has a mass m two, 110 thousand kilograms and it's moving to the left with a velocity v two of 0.12 meters per second. This v two is going to be a negative number when we plug it into our formulas because it's going to the left. So the total momentum of the system initially is the same as the total momentum after the collision and so we write this symbol, this little apostrophe, it's a prime there, to denote after collision. The total momentum initially is the mass of train car one times its velocity v one plus the mass of train car two times its velocity v two. That's going to equal the total momentum after the collision but we're told that the train cars are coupled together after they collide which means that they form a single car of mass m one plus m two moving with some single velocity, we'll call it v prime, prime for after collision. So we're going to solve for v prime by dividing both sides by the total mass, m one plus m two. So v prime is m one v one plus m two v two over m one plus m two. So that's 150 thousand kilograms times 0.3 meters per second, initial momentum of train car one, plus 110 thousand kilograms times negative 0.12 meters per second, that's the velocity of car two multiplied by its mass, and then divide that by the total mass. We get 0.122 meters per second. That answer is positive which means it's going to be moving to the right or in the same direction as the more massive train car was moving initially.