Question
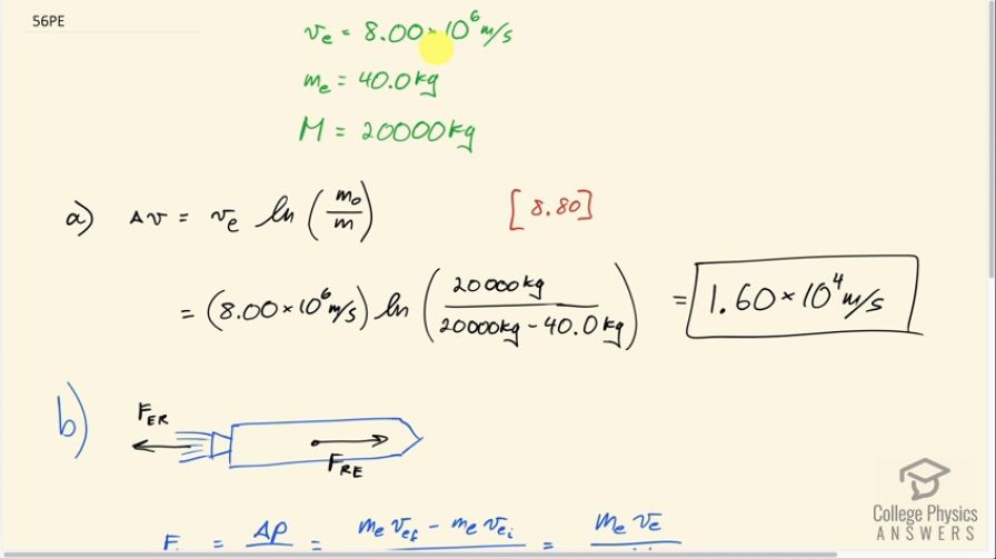
Ion-propulsion rockets have been proposed for use in space. They employ atomic ionization techniques and nuclear energy sources to produce extremely high exhaust velocities, perhaps as great as . These techniques allow a much more favorable payload-to-fuel ratio. To illustrate this fact: (a) Calculate the increase in velocity of a 20,000-kg space probe that expels only 40.0-kg of its mass at the given exhaust velocity. (b) These engines are usually designed to produce a very small thrust for a very long time—the type of engine that might be useful on a trip to the outer planets, for example. Calculate the acceleration of such an engine if it expels at the given velocity, assuming the acceleration due to gravity is negligible.
Final Answer
Solution video
OpenStax College Physics, Chapter 8, Problem 56 (Problems & Exercises)

vote with a rating of
votes with an average rating of
.
Calculator Screenshots
Video Transcript
This is College Physics Answers with Shaun Dychko. A space probe that's out in space has some propellant that will have an exhaust velocity of 8.00 times 10 to the 6 meters per second and 40.0 kilograms of that propellant will be ejected and the mass of the space probe is 20000 kilograms. And so part (a) asks us what will the change in velocity be of this space probe given this propellant? So we have equation [8.80] tells us that the exhaust velocity multiplied by the natural logarithm of the initial mass of the rocket divided by the rocket's final mass after taking away the propellant mass is going to be the change in velocity. So that's 8.00 times 10 to the 6 meters per second—exhaust velocity— multiplied by natural logarithm of 20000 kilograms divided by 20000 minus 40.0 kilograms and that is 1.60 times 10 to the 4 meters per second. In part (b), we are asked what will the acceleration of this space probe be given a certain rate of mass ejection in the exhaust with the same exhaust velocity. So we are told that only 4.50 times 10 to the minus 6 kilograms of exhaust are produced every second. So let's first of all talk about the free-body diagram on the space probe. And so we have two subscripts here: one being the thing that the force is on and the other being the thing that is exerting the force. So this black arrow pointing to the left here is the force on the exhaust due to the rocket and that's the reason why the exhaust comes out of the rocket is because it has a force exerted on it by the rocket and it will in turn have a Newton's third law counterpart on the rocket due to the exhaust pointing in the other direction. So this is the force that's accelerating the rocket: it's the reaction force to the force on the exhaust. Okay! So the force on the exhaust is the change in momentum of the exhaust divided by time— this is Newton's second law expressed in terms of momentum— and the change in momentum of the exhaust is the mass of the exhaust ejected multiplied by its final velocity minus the mass of the exhaust multiplied by its initial velocity but its initial velocity is zero because it's at rest inside the rocket in the fuel tank and so this becomes m ev e over Δt. And all this is going to be the same magnitude force I mean, you know, I suppose it should be negative but let's never mind that business; we are just talking about magnitudes here. So the magnitude of the force on the rocket due to the exhaust is the same as the magnitude of force on the exhaust due to the rocket and so we write m ev e over Δt here And this is the net force on the rocket and so it's the rocket mass multiplied by its acceleration. Then we can divide both sides by the rocket mass and we have acceleration. So the acceleration is gonna be the rate of the exhaust being expelled and I have just, you know, put these two factors together because we are given this fraction as a single number 4.50 times 10 to the minus 6 kilograms per second but I am writing 1.00 seconds here just to make it, you know, easier to see where that t goes; it's the denominator of the kilograms per second value that we are given. So that gets multiplied by the exhaust velocity divided by the mass of the rocket which is 1.80 times 10 to the minus 3 meters per second squared is the acceleration.