Question
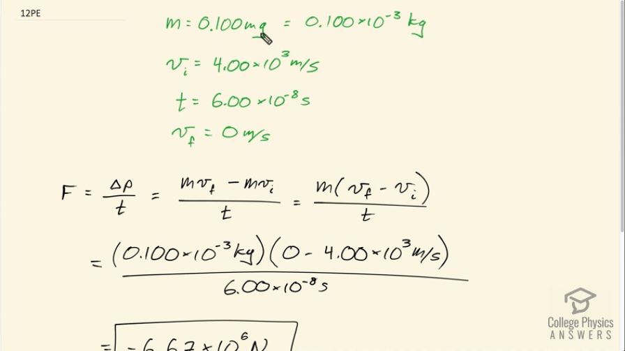
One hazard of space travel is debris left by previous missions. There are several thousand objects orbiting Earth that are large enough to be detected by radar, but there are far greater numbers of very small objects, such as flakes of paint. Calculate the force exerted by a 0.100-mg chip of paint that strikes a spacecraft window at a relative speed of 4.00×103 m/s4.00\times 10^{3}\textrm{ m/s}, given the collision lasts 6.00×108 s6.00 \times 10^{-8}\textrm{ s}.
Question by OpenStax is licensed under CC BY 4.0
Final Answer
6.67×103 N6.67\times 10^{3}\textrm{ N} Note: The video shows an incorrect conversion of 0.100 mg0.100 \textrm{ mg} to 0.100×103 kg0.100 \times 10^{-3}\textrm{ kg}. It should be 0.100×106 kg0.100 \times 10^{-6}\textrm{ kg}. The final answer in the video is wrong, but the process is correct. The final answer shown above, and the calculator screenshot, have both been corrected.

Solution video

OpenStax College Physics, Chapter 8, Problem 12 (Problems & Exercises)

OpenStax College Physics, Chapter 8, Problem 12 (PE) video thumbnail

In order to watch this solution you need to have a subscription.

Start free trial Log in
vote with a rating of votes with an average rating of .

Calculator Screenshots

  • OpenStax College Physics, Chapter 8, Problem 12 (PE) calculator screenshot 1
Video Transcript
This is College Physics Answers with Shaun Dychko We imagine that a .1 milligram piece of paint is orbiting around the earth and it’s a piece of space debris, and it’s going to hit the window of a spaceship. And what force will it apply on that window? When we’re writing down the information that we know, we’ll take this as our opportunity to convert units into m.k.s. units; meters, kilograms and seconds. And so this is .1 times ten to the minus three kilograms. The initial speed of this paint chip is four times ten to the three meters per seconds, and it’s in contact with the window for 6.00 times ten to the minus eight seconds. Now what the question does not tell us is what the final speed of the paint chip is. And we have to assume that it’s going to be zero. Because any other assumption would prevent us from being able to answer the question. Because we have to know what the final speed is, in order to calculate the force it applies. Because the force is going to be it’s change in momentum divided by time. And we need to know what the final momentum is of the paint chip. So we need some final speed, and so it sticks to the window and does not puncture it. Although, when we get our final answer you have to wonder if maybe it would puncture it. But anyway, we have the change in momentum; mass times final speed, minus mass times initial speed all divided by time. So factor out the m, and we have m times v f minus v i over t So, that’s the mass of .1 times ten to the minus three kilograms, multiplied by a final speed of zero, minus an initial speed of four times ten to the three meters per second. Divided by six times ten to the minus eight seconds. Which works out to negative 6.67 times ten to the six newtons. That’s about seven million newtons. And the negative sign just indicates that the force applied on the paint chip is in the opposite direction to it’s initial velocity.

Comments

You state that the 0.100 mg chip is equal to 0.100 x 10^3 kg. I believe that you should have the mass as 1.00 x 10^-7 kg, or 0.100 x 10^6 kg, seeing as how 1 mg = 1 x 10^6 kg.

How did you convert .100 mg to .100 x10 ^-3 kg?
Every where I look, .100 mg = 1.0 x 10^-7 kg.

Hi blue,
Thank you for your comment. You're quite right that there's an error, and I have already put some notes about this in the final answer. 0.100 mg does convert to 1.00 x 10^-7 kg as you say. The final answer and calculator screenshots have been updated (note that I write 0.1 x 10^-6 which is the same as 1.0 x 10^-7), but the video still needs an update.
All the best,
Shaun