Question
(a) Calculate the maximum rate at which a rocket can expel gases if its acceleration cannot exceed seven times that of gravity. The mass of the rocket just as it runs out of fuel is 75,000 kg, and its exhaust velocity is . Assume that the acceleration of gravity is the same as on Earth's surface, . (b) Why might it be necessary to limit the acceleration of a rocket?
Final Answer
- Accelerations exceeding might injure human occupants of the rocket or damage the rocket itself. One risk to human occupants is "G-LOC" - g-induced loss of consciousness.
Solution video
OpenStax College Physics, Chapter 8, Problem 58 (Problems & Exercises)

vote with a rating of
votes with an average rating of
.
Calculator Screenshots
Video Transcript
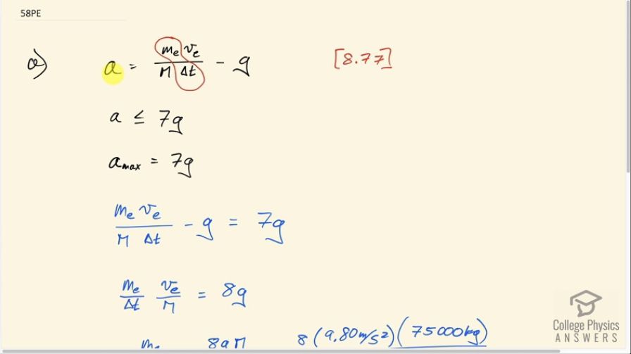
This is College Physics Answers with Shaun Dychko. We are going to calculate the maximum rate at which exhaust can be ejected from the rocket in order to have an acceleration that is 7g's or less so we use equation [8.77] to figure this out. And so acceleration of the rocket is the rate at which mass is ejected multiplied by the exhaust velocity divided by the mass of the rocket minus acceleration due to gravity on the Earth. And so we are told this acceleration has to be less than or equal to 7g's and so at its maximum, it will be 7g's. And so we plug in 7g here and we are gonna solve for m e over Δt. So we are gonna add g to both sides that makes 8g on the right side and then switch the order of the factors around a little bit to put this as a single fraction and then multiply both sides by mass of the rocket divided by the velocity of the exhaust. And we have then the rate at which mass can be expelled is 8g times mass of the rocket divided by the exhaust velocity. So that's 8.00 times 9.80 meters per second squared times 75000 kilograms—mass of the rocket— divided by 2.40 times 10 to the 3 meters per second and that is 2450 kilograms per second is the maximum rate of mass ejection in the exhaust. And there's a good reason for having a maximum acceleration in a rocket and that's probably to avoid injuring human occupants who would be injured if acceleration was greater or damage to the rocket; there's something that can happen to people called "G-LOC" which is acceleration induced loss of consciousness and if that happens then there's nobody flying the rocket anymore. So yeah, you have to avoid causing loss of consciousness for the human occupants, for example.