Chapter 8

Chapter thumbnail
Each rugby player has great momentum, which will affect the outcome of their collisions with each other and the ground.

Chapter 8 : Linear Momentum and Collisions - all with Video Solutions

Problems & Exercises

Section 8.1: Linear Momentum and Force

Problem 1

(a) Calculate the momentum of a 2000-kg elephant charging a hunter at a speed of 7.50 \textrm{ m/s} . (b) Compare the elephant’s momentum with the momentum of a 0.0400-kg tranquilizer dart fired at a speed of 600 m/s600 \textrm{ m/s}. (c) What is the momentum of the 90.0-kg hunter running at 7.40 m/s7.40 \textrm{ m/s} after missing the elephant?

View solution

Problem 2

(a) What is the mass of a large ship that has a momentum of 1.60×109 kgm/s1.60\times 10^{9} \textrm{ kg}\cdot\textrm{m/s}, when the ship is moving at a speed of 48.0 km/h? (b) Compare the ship’s momentum to the momentum of a 1100-kg artillery shell fired at a speed of 1200 m/s .

View solution

Problem 3

(a) At what speed would a 2.00×10 kg2.00 \times 10^ \textrm{ kg} airplane have to fly to have a momentum of 1.60×109 kg m/s1.60 \times 10^9 \textrm{ kg m/s} (the same as the ship’s momentum in the problem above)? (b) What is the plane’s momentum when it is taking off at a speed of 60.0 m/s60.0 \textrm{ m/s}? (c) If the ship is an aircraft carrier that launches these airplanes with a catapult, discuss the implications of your answer to (b) as it relates to recoil effects of the catapult on the ship.

View solution

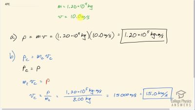
Problem 4

(a) What is the momentum of a garbage truck that is 1.20×104 kg1.20\times 10^{4}\textrm{ kg} and is moving at 10.0 m/s ? (b) At what speed would an 8.00-kg trash can have the same momentum as the truck?

View solution

Problem 5

A runaway train car that has a mass of 15,000 kg travels at a speed of 5.4 m/s5.4 \textrm{ m/s} down a track. Compute the time required for a force of 1500 N to bring the car to rest.

View solution

Problem 6

The mass of Earth is 5.972×1024 kg5.972\times 10^{24}\textrm{ kg} and its orbital radius is an average of 1.496×1011 m1.496\times 10^{11}\textrm{ m}. Calculate its linear momentum.

View solution

Section 8.2: Impulse

Problem 7

A bullet is accelerated down the barrel of a gun by hot gases produced in the combustion of gun powder. What is the average force exerted on a 0.0300-kg bullet to accelerate it to a speed of 600 m/s in a time of 2.00 ms (milliseconds)?

View solution

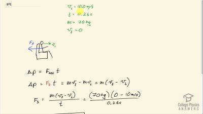
Problem 8

A car moving at 10 m/s crashes into a tree and stops in 0.26 s. Calculate the force the seat belt exerts on a passenger in the car to bring him to a halt. The mass of the passenger is 70 kg.

View solution

Problem 9

A person slaps her leg with her hand, bringing her hand to rest in 2.50 milliseconds from an initial speed of 4.00 m/s. (a) What is the average force exerted on the leg, taking the effective mass of the hand and forearm to be 1.50 kg? (b) Would the force be any different if the woman clapped her hands together at the same speed and brought them to rest in the same time? Explain why or why not.

View solution

Problem 10

A professional boxer hits his opponent with a 1000-N horizontal blow that lasts for 0.150 s. (a) Calculate the impulse imparted by this blow. (b) What is the opponent’s final velocity, if his mass is 105 kg and he is motionless in midair when struck near his center of mass? (c) Calculate the recoil velocity of the opponent’s 10.0-kg head if hit in this manner, assuming the head does not initially transfer significant momentum to the boxer’s body. (d) Discuss the implications of your answers for parts (b) and (c).

View solution

Problem 11

Suppose a child drives a bumper car head on into the side rail, which exerts a force of 4000 N on the car for 0.200 s. (a) What impulse is imparted by this force? (b) Find the final velocity of the bumper car if its initial velocity was 2.80 m/s and the car plus driver have a mass of 200 kg. You may neglect friction between the car and floor.

View solution

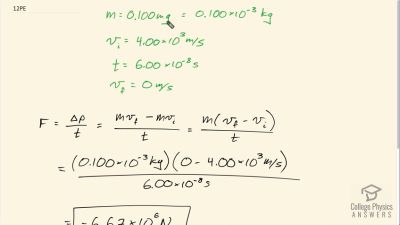
Problem 12

One hazard of space travel is debris left by previous missions. There are several thousand objects orbiting Earth that are large enough to be detected by radar, but there are far greater numbers of very small objects, such as flakes of paint. Calculate the force exerted by a 0.100-mg chip of paint that strikes a spacecraft window at a relative speed of 4.00×103 m/s4.00\times 10^{3}\textrm{ m/s}, given the collision lasts 6.00×108 s6.00 \times 10^{-8}\textrm{ s}.

View solution

Problem 13

A 75.0-kg person is riding in a car moving at 20.0 m/s when the car runs into a bridge abutment. (a) Calculate the average force on the person if he is stopped by a padded dashboard that compresses an average of 1.00 cm. (b) Calculate the average force on the person if he is stopped by an air bag that compresses an average of 15.0 cm.

View solution

Problem 14

Military rifles have a mechanism for reducing the recoil forces of the gun on the person firing it. An internal part recoils over a relatively large distance and is stopped by damping mechanisms in the gun. The larger distance reduces the average force needed to stop the internal part. (a) Calculate the recoil velocity of a 1.00-kg plunger that directly interacts with a 0.0200-kg bullet fired at 600 m/s from the gun. (b) If this part is stopped over a distance of 20.0 cm, what average force is exerted upon it by the gun? (c) Compare this to the force exerted on the gun if the bullet is accelerated to its velocity in 10.0 ms (milliseconds).

View solution

Problem 15

A cruise ship with a mass of 1.00×107 kg1.00 \times 10^7 \textrm{ kg} strikes a pier at a speed of 0.750 m/s. It comes to rest 6.00 m later, damaging the ship, the pier, and the tugboat captain’s finances. Calculate the average force exerted on the pier using the concept of impulse. (Hint: First calculate the time it took to bring the ship to rest.)

View solution

Problem 16

Calculate the final speed of a 110-kg rugby player who is initially running at 8.00 m/s but collides head-on with a padded goalpost and experiences a backward force of 1.76×104 N1.76\times 10^{4}\textrm{ N} for 5.50×102 s5.50\times 10^{-2}\textrm{ s}.

View solution

Problem 17

Water from a fire hose is directed horizontally against a wall at a rate of 50.0 kg/s and a speed of 42.0 m/s. Calculate the magnitude of the force exerted on the wall, assuming the water’s horizontal momentum is reduced to zero.

View solution

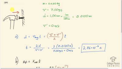
Problem 18

A 0.450-kg hammer is moving horizontally at 7.00 m/s when it strikes a nail and comes to rest after driving the nail 1.00 cm into a board. (a) Calculate the duration of the impact. (b) What was the average force exerted on the nail?

View solution

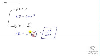
Problem 19

Starting with the definitions of momentum and kinetic energy, derive an equation for the kinetic energy of a particle expressed as a function of its momentum.

View solution

Problem 20

A ball with an initial velocity of 10 m/s moves at an angle 6060^\circ above the +x+x direction. The ball hits a vertical wall and bounces off so that it is moving 6060^\circ above the x-x direction with the same speed. What is the impulse delivered by the wall?

View solution

Problem 21

When serving a tennis ball, a player hits the ball when its velocity is zero (at the highest point of a vertical toss). The racquet exerts a force of 540 N on the ball for 5.00 ms, giving it a final velocity of 45.0 m/s. Using these data, find the mass of the ball.

View solution

Problem 22

A punter drops a ball from rest vertically 1 meter down onto his foot. The ball leaves the foot with a speed of 18 m/s at an angle 5555^\circ above the horizontal. What is the impulse delivered by the foot (magnitude and direction)?

View solution

Section 8.3: Conservation of Momentum

Problem 23

Train cars are coupled together by being bumped into one another. Suppose two loaded train cars are moving toward one another, the first having a mass of 150,000 kg and a velocity of 0.300 m/s, and the second having a mass of 110,000 kg and a velocity of 0.120 m/s-0.120 \textrm{ m/s}. (The minus indicates direction of motion.) What is their final velocity?

View solution

Problem 24

Suppose a clay model of a koala bear has a mass of 0.200 kg and slides on ice at a speed of 0.750 m/s. It runs into another clay model, which is initially motionless and has a mass of 0.350 kg. Both being soft clay, they naturally stick together. What is their final velocity?

View solution

Problem 25

Consider the following question: A car moving at 10 m/s crashes into a tree and stops in 0.26 s. Calculate the force the seatbelt exerts on a passenger in the car to bring him to a halt. The mass of the passenger is 70 kg. Would the answer to this question be different if the car with the 70-kg passenger had collided with a car that has a mass equal to and is traveling in the opposite direction and at the same speed? Explain your answer.

View solution

Problem 26

What is the velocity of a 900-kg car initially moving at 30.0 m/s, just after it hits a 150-kg deer initially running at 12.0 m/s in the same direction? Assume the deer remains on the car.

View solution

Problem 27

A 1.80-kg falcon catches a 0.650-kg dove from behind in midair. What is their velocity after impact if the falcon’s velocity is initially 28.0 m/s and the dove’s velocity is 7.00 m/s in the same direction?

View solution

Section 8.4: Elastic Collisions in One Dimension

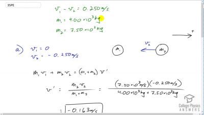
Problem 29

Two piloted satellites approach one another at a relative speed of 0.250 m/s, intending to dock. The first has a mass of 4.00×103 kg4.00 \times 10^3 \textrm{ kg}, and the second a mass of 7.50×103 kg7.50 \times 10^3 \textrm{ kg} . If the two satellites collide elastically rather than dock, what is their final relative velocity?

View solution

Problem 30

A 70.0-kg ice hockey goalie, originally at rest, catches a 0.150-kg hockey puck slapped at him at a velocity of 35.0 m/ s. Suppose the goalie and the ice puck have an elastic collision and the puck is reflected back in the direction from which it came. What would their final velocities be in this case?

View solution

Section 8.5: Inelastic Collisions in One Dimension

Problem 31

A 0.240-kg billiard ball that is moving at 3.00 m/s strikes the bumper of a pool table and bounces straight back at 2.40 m/s (80% of its original speed). The collision lasts 0.0150 s. (a) Calculate the average force exerted on the ball by the bumper. (b) How much kinetic energy in joules is lost during the collision? (c) What percent of the original energy is left?

View solution

Problem 32

During an ice show, a 60.0-kg skater leaps into the air and is caught by an initially stationary 75.0-kg skater. (a) What is their final velocity assuming negligible friction and that the 60.0-kg skater’s original horizontal velocity is 4.00 m/s? (b) How much kinetic energy is lost?

View solution

Problem 33

Using mass and speed data from Example 8.1 and assuming that the football player catches the ball with his feet off the ground with both of them moving horizontally, calculate: (a) the final velocity if the ball and player are going in the same direction and (b) the loss of kinetic energy in this case. (c) Repeat parts (a) and (b) for the situation in which the ball and the player are going in opposite directions. Might the loss of kinetic energy be related to how much it hurts to catch the pass?

Example 8.1

(a) Calculate the momentum of a 110-kg football player running at 8.00 m/s. (b) Compare the player’s momentum with the momentum of a hard-thrown 0.410-kg football that has a speed of 25.0 m/s.

View solution

Problem 34

A battleship that is 6.00×107 kg6.00\times 10^{7}\textrm{ kg} and is originally at rest fires a 1100-kg artillery shell horizontally with a velocity of 575 m/s. (a) If the shell is fired straight aft (toward the rear of the ship), there will be negligible friction opposing the ship’s recoil. Calculate its recoil velocity. (b) Calculate the increase in internal kinetic energy (that is, for the ship and the shell). This energy is less than the energy released by the gun powder—significant heat transfer occurs.

View solution

Problem 35

Two piloted satellites approaching one another, at a relative speed of 0.250 m/s, intending to dock. The first has a mass of 4.00×103 kg4.00 \times 10^3 \textrm{ kg}, and the second a mass of 7.50×103 kg7.50 \times 10^3 \textrm{ kg}. (a) Calculate the final velocity (after docking) by using the frame of reference in which the first satellite was originally at rest. (b) What is the loss of kinetic energy in this inelastic collision? (c) Repeat both parts by using the frame of reference in which the second satellite was originally at rest. Explain why the change in velocity is different in the two frames, whereas the change in kinetic energy is the same in both.

View solution

Problem 36

A 30,000-kg freight car is coasting at 0.850 m/s with negligible friction under a hopper that dumps 110,000 kg of scrap metal into it. (a) What is the final velocity of the loaded freight car? (b) How much kinetic energy is lost?

View solution

Problem 37

Space probes may be separated from their launchers by exploding bolts. (They bolt away from one another.) Suppose a 4800-kg satellite uses this method to separate from the 1500-kg remains of its launcher, and that 5000 J of kinetic energy is supplied to the two parts. What are their subsequent velocities using the frame of reference in which they were at rest before separation?

View solution

Problem 38

A 0.0250-kg bullet is accelerated from rest to a speed of 550 m/s in a 3.00-kg rifle. The pain of the rifle’s kick is much worse if you hold the gun loosely a few centimeters from your shoulder rather than holding it tightly against your shoulder. (a) Calculate the recoil velocity of the rifle if it is held loosely away from the shoulder. (b) How much kinetic energy does the rifle gain? (c) What is the recoil velocity if the rifle is held tightly against the shoulder, making the effective mass 28.0 kg? (d) How much kinetic energy is transferred to the rifle- shoulder combination? The pain is related to the amount of kinetic energy, which is significantly less in this latter situation. (e) Calculate the momentum of a 110-kg football player running at 8.00 m/s. Compare the player’s momentum with the momentum of a hard-thrown 0.410-kg football that has a speed of 25.0 m/s. Discuss its relationship to this problem.

View solution

Problem 39

One of the waste products of a nuclear reactor is plutonium-239 (239Pu)\left( ^{239}Pu \right). This nucleus is radioactive and decays by splitting into a helium-4 nucleus and a uranium-235 nucleus (4He+235U)\left( ^{4}He + ^{235}U \right), the latter of which is also radioactive and will itself decay some time later. The energy emitted in the plutonium decay is 8.40×1013 J8.40 \times 10^{-13} \textrm{ J} and is entirely converted to kinetic energy of the helium and uranium nuclei. The mass of the helium nucleus is 6.68×1027 kg6.68 \times 10^{-27} \textrm{ kg}, while that of the uranium is 3.92×1025 kg3.92 \times 10^{-25} \textrm{ kg} (note that the ratio of the masses is 4 to 235). (a) Calculate the velocities of the two nuclei, assuming the plutonium nucleus is originally at rest. (b) How much kinetic energy does each nucleus carry away? Note that the data given here are accurate to three digits only.

View solution

Problem 40

The Moon’s craters are remnants of meteorite collisions. Suppose a fairly large asteroid that has a mass of 5.00×1012 kg5.00 \times 10^{12}\textrm{ kg} (about a kilometer across) strikes the Moon at a speed of 15.0 km/s. (a) At what speed does the Moon recoil after the perfectly inelastic collision (the mass of the Moon is 7.36×1022 kg7.36\times 10^{22}\textrm{ kg} ) ? (b) How much kinetic energy is lost in the collision? Such an event may have been observed by medieval English monks who reported observing a red glow and subsequent haze about the Moon. (c) In October 2009, NASA crashed a rocket into the Moon, and analyzed the plume produced by the impact. (Significant amounts of water were detected.) Answer part (a) and (b) for this real-life experiment. The mass of the rocket was 2000 kg and its speed upon impact was 9000 km/h. How does the plume produced alter these results?

View solution

Problem 41

Two football players collide head-on in midair while trying to catch a thrown football. The first player is 95.0 kg and has an initial velocity of 6.00 m/s, while the second player is 115 kg and has an initial velocity of –3.50 m/s. What is their velocity just after impact if they cling together?

View solution

Problem 42

What is the speed of a garbage truck that is 1.20×104 kg1.20\times 10^{4}\textrm{ kg} and is initially moving at 25.0 m/s just after it hits and adheres to a trash can that is 80.0 kg and is initially at rest?

View solution

Problem 43

During a circus act, an elderly performer thrills the crowd by catching a cannon ball shot at him. The cannon ball has a mass of 10.0 kg and the horizontal component of its velocity is 8.00 m/s when the 65.0-kg performer catches it. If the performer is on nearly frictionless roller skates, what is his recoil velocity?

View solution

Problem 44

(a) During an ice skating performance, an initially motionless 80.0-kg clown throws a fake barbell away. The clown’s ice skates allow her to recoil frictionlessly. If the clown recoils with a velocity of 0.500 m/s and the barbell is thrown with a velocity of 10.0 m/s, what is the mass of the barbell? (b) How much kinetic energy is gained by this maneuver? (c) Where does the kinetic energy come from?

View solution

Section 8.6: Collisions of Point Masses in Two Dimensions

Problem 45

Two identical pucks collide on an air hockey table. One puck was originally at rest. (a) If the incoming puck has a speed of 6.00 m/s and scatters to an angle of 30.030.0^\circ, what is the velocity (magnitude and direction) of the second puck? (You may use the result that θ1θ2=90\theta_1 - \theta_2 = 90^\circ for elastic collisions of objects that have identical masses.) (b) Confirm that the collision is elastic.

View solution

Problem 47

A 3000-kg cannon is mounted so that it can recoil only in the horizontal direction. (a) Calculate its recoil velocity when it fires a 15.0-kg shell at 480 m/s at an angle of above the horizontal. (b) What is the kinetic energy of the cannon? This energy is dissipated as heat transfer in shock absorbers that stop its recoil. (c) What happens to the vertical component of momentum that is imparted to the cannon when it is fired?

View solution

Problem 48

A 5.50-kg bowling ball moving at 9.00 m/s collides with a 0.850-kg bowling pin, which is scattered at an angle of 85.085.0^\circ to the initial direction of the bowling ball and with a speed of 15.0 m/s. (a) Calculate the final velocity (magnitude and direction) of the bowling ball. (b) Is the collision elastic? (c) Linear kinetic energy is greater after the collision. Discuss how spin on the ball might be converted to linear kinetic energy in the collision.

View solution

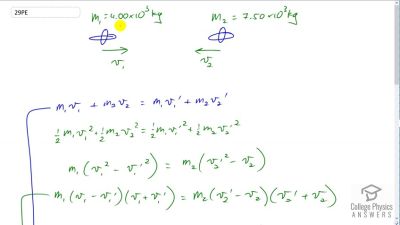
Problem 49

Ernest Rutherford (the first New Zealander to be awarded the Nobel Prize in Chemistry) demonstrated that nuclei were very small and dense by scattering helium-4 nuclei (4He)\left( ^4\textrm{He} \right) from gold-197 nuclei (197Au)\left( ^{197}\textrm{Au} \right). The energy of the incoming helium nucleus was 8.00×1013 J8.00 \times 10^{-13} \textrm{ J}, and the masses of the helium and gold nuclei were 6.68×1027 kg6.68 \times 10^{-27} \textrm{ kg} and 3.29×1025 kg3.29 \times 10^{-25} \textrm{ kg}, respectively (note that their mass ratio is 4 to 197). (a) If a helium nucleus scatters to an angle of 120120^\circ during an elastic collision with a gold nucleus, calculate the helium nucleus’s final speed and the final velocity (magnitude and direction) of the gold nucleus. (b) What is the final kinetic energy of the helium nucleus?

View solution

Problem 50

Two cars collide at an icy intersection and stick together afterward. The first car has a mass of 1200 kg and is approaching at 8.00 m/s due south. The second car has a mass of 850 kg and is approaching at 17.0 m/s due west. (a) Calculate the final velocity (magnitude and direction) of the cars. (b) How much kinetic energy is lost in the collision? (This energy goes into deformation of the cars.) Note that because both cars have an initial velocity, you cannot use the equations for conservation of momentum along the x -axis and y -axis; instead, you must look for other simplifying aspects.

View solution

Problem 51

Starting with equations m1v1=m1v1cos(θ1)+m2v2cos(θ2)m_1v_1 = m_1v_1'\cos(\theta_1) + m_2v_2'\cos(\theta_2) and 0=m1v1sin(θ1)+m2v2sin(θ2) 0 = m_1v_1'\sin(\theta_1) + m_2v_2'\sin(\theta_2) for conservation of momentum in the xx and yy directions and assuming that one object is originally stationary, prove that for an elastic collision of two objects of equal masses, 12mv12=12mv12+12mv22+mv1v2cos(θ1θ2)\dfrac{1}{2}mv_1^2 = \dfrac{1}{2}mv_1'^2 + \dfrac{1}{2}mv_2'^2 + mv_1'v_2'\cos(\theta_1 - \theta_2) as discussed in the text.

View solution

Problem 52

A 90.0-kg ice hockey player hits a 0.150-kg puck, giving the puck a velocity of 45.0 m/s. If both are initially at rest and if the ice is frictionless, how far does the player recoil in the time it takes the puck to reach the goal 15.0 m away?

View solution

Section 8.7: Introduction to Rocket Propulsion

Problem 53

Antiballistic missiles (ABMs) are designed to have very large accelerations so that they may intercept fast-moving incoming missiles in the short time available. What is the takeoff acceleration of a 10,000-kg ABM that expels 196 kg of gas per second at an exhaust velocity of 2.50×103 m/s2.50 \times 10^3 \textrm{ m/s}

View solution

Problem 54

What is the acceleration of a 5000-kg rocket taking off from the Moon, where the acceleration due to gravity is only 1.6 m/s21.6\textrm{ m/s}^2 , if the rocket expels 8.00 kg of gas per second at an exhaust velocity of 2.20×103 m/s2.20\times 10^{3}\textrm{ m/s}?

View solution

Problem 55

Calculate the increase in velocity of a 4000-kg space probe that expels 3500 kg of its mass at an exhaust velocity of 2.00×103 m/s2.00 \times 10^3 \textrm{ m/s}. You may assume the gravitational force is negligible at the probe’s location.

View solution

Problem 56

Ion-propulsion rockets have been proposed for use in space. They employ atomic ionization techniques and nuclear energy sources to produce extremely high exhaust velocities, perhaps as great as 8.00×106 m/s8.00\times 10^{6}\textrm{ m/s} . These techniques allow a much more favorable payload-to-fuel ratio. To illustrate this fact: (a) Calculate the increase in velocity of a 20,000-kg space probe that expels only 40.0-kg of its mass at the given exhaust velocity. (b) These engines are usually designed to produce a very small thrust for a very long time—the type of engine that might be useful on a trip to the outer planets, for example. Calculate the acceleration of such an engine if it expels 4.50×106 kg/s4.50\times 10^{-6}\textrm{ kg/s} at the given velocity, assuming the acceleration due to gravity is negligible.

View solution

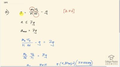
Problem 58

(a) Calculate the maximum rate at which a rocket can expel gases if its acceleration cannot exceed seven times that of gravity. The mass of the rocket just as it runs out of fuel is 75,000 kg, and its exhaust velocity is 2.40×103 m/s2.40\times 10^{3}\textrm{ m/s}. Assume that the acceleration of gravity is the same as on Earth's surface, 9.80 m/s29.80 \textrm{ m/s}^2. (b) Why might it be necessary to limit the acceleration of a rocket?

View solution

Problem 59

Given the following data for a fire extinguisher-toy wagon rocket experiment, calculate the average exhaust velocity of the gases expelled from the extinguisher. Starting from rest, the final velocity is 10.0 m/s. The total mass is initially 75.0 kg and is 70.0 kg after the extinguisher is fired.

View solution

Problem 60

How much of a single-stage rocket that is 100,000 kg can be anything but fuel if the rocket is to have a final speed of 8.00 km/s , given that it expels gases at an exhaust velocity of 2.20×103 m/s2.20 \times 10^{3}\textrm{ m/s}?

View solution

Problem 61

(a) A 5.00-kg squid initially at rest ejects 0.250-kg of fluid with a velocity of 10.0 m/s. What is the recoil velocity of the squid if the ejection is done in 0.100 s and there is a 5.00-N frictional force opposing the squid’s movement. (b) How much energy is lost to work done against friction?

View solution

Problem 62

Squids have been reported to jump from the ocean and travel 30.0 m (measured horizontally) before re-entering the water. (a) Calculate the initial speed of the squid if it leaves the water at an angle of 20.020.0^\circ , assuming negligible lift from the air and negligible air resistance. (b) The squid propels itself by squirting water. What fraction of its mass would it have to eject in order to achieve the speed found in the previous part? The water is ejected at 12.0 m/s ; gravitational force and friction are neglected. (c) What is unreasonable about the results? (d) Which premise is unreasonable, or which premises are inconsistent?

View solution