Question
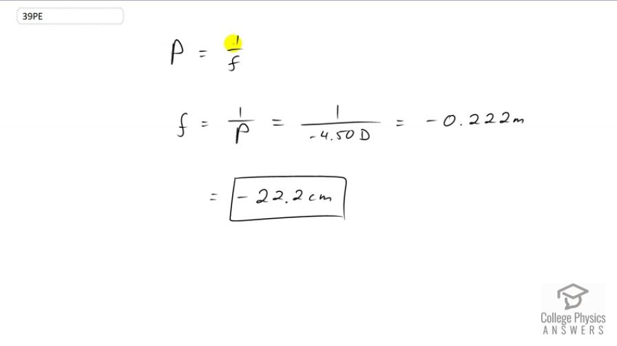
You note that your prescription for new eyeglasses is –4.50 D. What will their focal length be?
Question by OpenStax is licensed under CC BY 4.0
Final Answer
22.2 cm-22.2 \textrm{ cm}

Solution video

OpenStax College Physics, Chapter 25, Problem 39 (Problems & Exercises)

OpenStax College Physics, Chapter 25, Problem 39 (PE) video thumbnail

In order to watch this solution you need to have a subscription.

Start free trial Log in
vote with a rating of votes with an average rating of .

Calculator Screenshots

  • OpenStax College Physics, Chapter 25, Problem 39 (PE) calculator screenshot 1
Video Transcript
This is College Physics Answers with Shaun Dychko. The power in units of dioptres is reciprocal of focal length of a lens in meters and so we can solve for f by taking both sides to the power of negative one in which case you can see focal length is also the reciprocal of power. So, that’s one over negative 4.50 dioptres which is negative 0.222 meters and we can write that as negative 22.2 centimetres.