Question
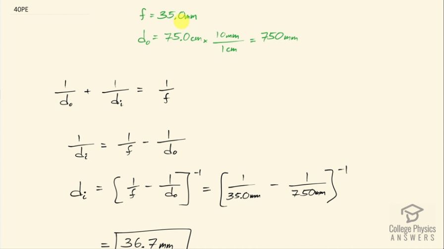
How far from the lens must the film in a camera be, if the lens has a 35.0 mm focal length and is being used to photograph a flower 75.0 cm away? Explicitly show how you follow the steps in the Problem-Solving Strategy for lenses.
Final Answer
Solution video
OpenStax College Physics, Chapter 25, Problem 40 (Problems & Exercises)

vote with a rating of
votes with an average rating of
.
Calculator Screenshots
Video Transcript
This is College Physics Answers with Shaun Dychko. We want to know how far from the camera the film must be given the camera lens has a 35.0 millimeter focal length and the flower that we are taking a photo of is 75.0 centimeters away. So the flower is the object so this is the object distance, in other words and we multiply by 10 millimeters for every centimeter in order to have common units between our two distances so we'll choose to have everything in millimeters say. And we know that the lens equation says that 1 over the object distance plus 1 over the image distance equals 1 over the focal length and it's the image distance we are trying to find that's the distance where the film should be away from the lens because the image needs to be placed on the film. Okay! So we have 1 over object distance subtracted from both sides here and that gives us 1 over image distance on the left and then raise both sides to the exponent negative 1 and on the left side, this gives us image distance and that equals 1 over f minus 1 over d o all to the power of negative 1. So that's 1 over 35.0 millimeters— focal length— minus 1 over 750 millimeters— object distance— and take the reciprocal of that difference and you get 36.7 millimeters is the distance from the lens to the film.