Question
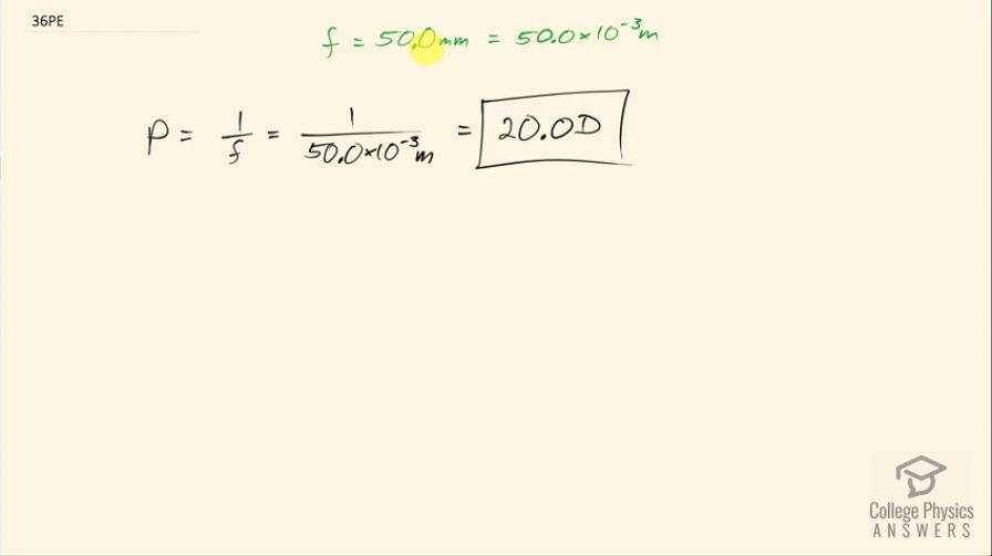
What is the power in diopters of a camera lens that has a 50.0 mm focal length?
Final Answer
Solution video
OpenStax College Physics, Chapter 25, Problem 36 (Problems & Exercises)

vote with a rating of
votes with an average rating of
.
Calculator Screenshots
Video Transcript
This is College Physics Answers with Shaun Dychko. The power and diopters for a lens is the reciprocal of its focal length in meters. So the focal length we are told is 50.0 millimeters, which we have to write as 50.0 times 10 to the minus 3 meters and we take the reciprocal of that and we get 20.0 diopters.