Question
(a) What is the ratio of the speed of red light to violet light in diamond, based on Table 25.2? (b) What is this ratio in polystyrene? (c) Which is more dispersive?
Question by OpenStax is licensed under CC BY 4.0
Final Answer
  1. 1.0201.020
  2. 1.0121.012
  3. Diamond is more dispersive.

Solution video

OpenStax College Physics, Chapter 25, Problem 28 (Problems & Exercises)

OpenStax College Physics, Chapter 25, Problem 28 (PE) video thumbnail

In order to watch this solution you need to have a subscription.

Start free trial Log in
vote with a rating of votes with an average rating of .

Calculator Screenshots

  • OpenStax College Physics, Chapter 25, Problem 28 (PE) calculator screenshot 1
Video Transcript
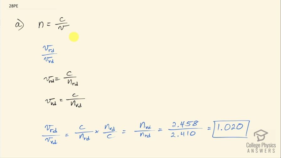
This is College Physics Answers with Shaun Dychko. We are going to find the ratio of the speed of red light to violet light in diamond and then in part (b), do that again in polystyrene and then figure out which is more dispersive or which has a greater difference in the angles of refraction for different colors. So index of refraction is defined as the speed of light in a vacuum divided by speed of light in whatever medium and our goal is to figure out the speed of red light in diamond divided by the speed of violet light in diamond. So the speed of red light in diamond is speed of light in a vacuum divided by the index of refraction of red light in diamond because we can rearrange this by multiplying both sides by v over n to get an expression for v and it is c over n. And then for the speed of violet light in diamond, it's c divided by the index of refraction for violet in diamond. Alright! So dividing these two means we have c over n rd from this expression divided by this fraction but instead of dividing a fraction by a fraction, I prefer to multiply by the reciprocal of the denominator fraction so I am multiplying by this flipped over— n vd over c— and we end up with n vd over n rd. So we need to look these things up then in table [25.2] so we have the index of refraction of red in diamond is 2.41 so that's what we have in our denominator and then the index of refraction of violet in diamond is 2.458 and so that's our numerator, divide those we get 1.020 is the ratio of speeds of red to violet in diamond. Then for red in polystyrene divided by the speed of violet light in polystyrene. So we need to put... the terms here... it's never good to just plug in numbers, we have to know what these numbers mean: this is the index of refraction of violet in polystyrene divided by the index of refraction of red in polystyrene and that's 1.506 when you look up in this table here for polystyrene— 1.506 is for violet in polystyrene— divided by 1.488 for red in polystyrene, this works out to 1.012. Since the diamond has a higher ratio of speeds that means it is more dispersive and it would also have a greater difference in angles of refraction for the different colors. And that's part of what makes diamond beautiful by the way is its ability to refract different colors and make... sort of... rainbow-type colors on it.