Question
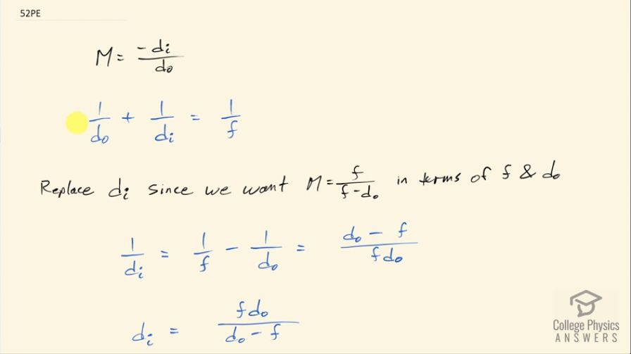
Combine thin lens equations to show that the magnification for a thin lens is determined by its focal length and the object distance and is given by
Final Answer
Please see the solution video.
Solution video
OpenStax College Physics, Chapter 25, Problem 52 (Problems & Exercises)

vote with a rating of
votes with an average rating of
.
Video Transcript
This is College Physics Answers with Shaun Dychko. We are going to combine this formula for magnification which is negative image distance divided by object distance with the thin lens equation to figure out this equation here, we are gonna derive this. So we want to replace d i in this magnification formula because our goal is to have magnification in terms of only focal length and object distance. So we are gonna rearrange this thin lens equation and solve for d i and then that will give us a thing that we can replace d i with in the magnification formula. Now if we subtract 1 over object distance from both sides then we have 1 over d i here equals 1 over f minus 1 over object distance and then I am going to write this as a single fraction by multiplying this first fraction by d o over d o multiplying it by 1 in other words, which is why we are allowed to do this— you can multiply anything you want by 1, it doesn't change its value. So we are multiplying by 1 but 1 looks a little funny, it looks like d o divided by d o and that works out to d o over d o times f and then minus this fraction multiplied by f over f and so it has the same common denominator and this works out to d o minus f on the top and then f times d o on the bottom. Then we raise both sides to the exponent negative 1, which means flip these fractions so that gives us d i on the left and on the right hand side, we have fd o over d o minus f so this is what we can replace d i with and we do that here. So we have the negative sign from the formula and then multiplied by d i—fd o over d o minus f— and then it's confusing to have a fraction divided by a fraction so instead I am gonna multiply by the denominator... reciprocal of the denominator... denominator is d o so I am gonna multiplied by 1 over d o and then these d o's cancel and we have negative f over d o minus f and then we can multiply top and bottom by negative 1, which makes the f positive and the d o negative on the bottom and it makes the top positive and there we go! This is the goal that we had to show that magnification is focal length divided by focal length minus object distance.