Question
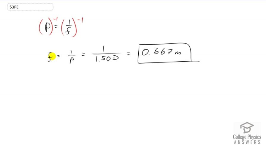
What is the focal length of a makeup mirror that has a power of 1.50 D?
Final Answer
Solution video
OpenStax College Physics, Chapter 25, Problem 53 (Problems & Exercises)

vote with a rating of
votes with an average rating of
.
Calculator Screenshots
Video Transcript
This is College Physics Answers with Shaun Dychko. The power of a mirror is the reciprocal of this focal length or you can raise both sides to the exponent negative one to say that the focal length is the reciprocal of the power. So the mirror power we're given is 1.5 diopters which means the focal length is 0.667 meters.