Chapter 25

Chapter thumbnail
Image seen as a result of reflection of light on a plane smooth surface.

Chapter 25 : Geometric Optics - all with Video Solutions

Problems & Exercises

Section 25.1: The Ray Aspect of Light

Problem 1

Suppose a man stands in front of a mirror as shown in Figure 25.50. His eyes are 1.65 m above the floor, and the top of his head is 0.13 m higher. Find the height above the floor of the top and bottom of the smallest mirror in which he can see both the top of his head and his feet. How is this distance related to the man’s height?

View solution

Section 25.2: The Law of Reflection

Problem 2

Show that when light reflects from two mirrors that meet each other at a right angle, the outgoing ray is parallel to the incoming ray, as illustrated in the following figure.

View solution

Problem 3

Light shows staged with lasers use moving mirrors to swing beams and create colorful effects. Show that a light ray reflected from a mirror changes direction by θ\theta when the mirror is rotated by an angle 2θ2\theta.

View solution

Problem 4

A flat mirror is neither converging nor diverging. To prove this, consider two rays originating from the same point and diverging at an angle θ\theta. Show that after striking a plane mirror, the angle between their directions remains θ\theta.

View solution

Section 25.3: The Law of Refraction

Problem 7

Calculate the index of refraction for a medium in which the speed of light is 2.012×108 m/s2.012 \times 10^8 \textrm{ m/s}, and identify the most likely substance based on Table 25.1.

View solution

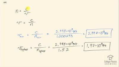
Problem 9

There was a major collision of an asteroid with the Moon in medieval times. It was described by monks at Canterbury Cathedral in England as a red glow on and around the Moon. How long after the asteroid hit the Moon, which is 3.84×105 km3.84 \times 10^5 \textrm{ km} away, would the light first arrive on Earth?

View solution

Problem 10

A scuba diver training in a pool looks at his instructor as shown in Figure 25.53. What angle does the ray from the instructor’s face make with the perpendicular to the water at the point where the ray enters? The angle between the ray in the water and the perpendicular to the water is 25.025.0^\circ.

View solution

Problem 11

Components of some computers communicate with each other through optical fibers having an index of refraction n=1.55n = 1.55. What time in nanoseconds is required for a signal to travel 0.200 m through such a fiber?

View solution

Problem 12

(a) Given that the angle between the ray in the water and the perpendicular to the water is 25.025.0^\circ, and using information in Figure 25.53, find the height of the instructor’s head above the water, noting that you will first have to calculate the angle of incidence. (b) Find the apparent depth of the diver’s head below water as seen by the instructor.

View solution

Problem 13

Suppose you have an unknown clear substance immersed in water, and you wish to identify it by finding its index of refraction. You arrange to have a beam of light enter it at an angle of 45.045.0^\circ, and you observe the angle of refraction to be 40.340.3^\circ. What is the index of refraction of the substance and its likely identity?

View solution

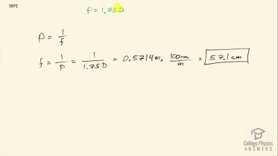
Problem 14

On the Moon’s surface, lunar astronauts placed a corner reflector, off which a laser beam is periodically reflected. The distance to the Moon is calculated from the round-trip time. What percent correction is needed to account for the delay in time due to the slowing of light in Earth’s atmosphere? Assume the distance to the Moon is precisely 3.84×108 m3.84\times 10^{8}\textrm{ m}, and Earth's atmosphere (which varies in density with altitude) is equivalent to a layer 30.0 km thick with a constant index of refraction n=1.000293n = 1.000293.

View solution

Problem 15

Suppose Figure 25.54 represents a ray of light going from air through crown glass into water, such as going into a fish tank. Calculate the amount the ray is displaced by the glass (Δx\Delta x), given that the incident angle is 40.040.0^\circ and the glass is 1.00 cm thick.

View solution

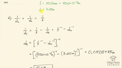
Problem 16

Figure 25.54 shows a ray of light passing from one medium into a second and then a third. Show that θ3\theta_3 is the same as it would be if the second medium were not present (provided total internal reflection does not occur).

View solution

Problem 17

Suppose light travels from water to another substance, with an angle of incidence of 10.010.0^\circ and an angle of refraction of 14.914.9^\circ. (a) What is the index of refraction of the other substance? (b) What is unreasonable about this result? (c) Which assumptions are unreasonable or inconsistent?

View solution

Problem 19

Light traveling from water to a gemstone strikes the surface at an angle of 80.080.0^\circ and has an angle of refraction of 15.215.2^\circ. (a) What is the speed of light in the gemstone? (b) What is unreasonable about this result? (c) Which assumptions are unreasonable or inconsistent?

View solution

Section 25.4: Total Internal Reflection

Problem 20

Verify that the critical angle for light going from water to air is 48.648.6^\circ , as discussed at the end of Example 25.4, regarding the critical angle for light traveling in a polystyrene (a type of plastic) pipe surrounded by air.

View solution

Problem 21

(a) At the end of Example 25.4, it was stated that the critical angle for light going from diamond to air is 24.424.4^\circ. Verify this. (b) What is the critical angle for light going from zircon to air?

View solution

Problem 24

Suppose you are using total internal reflection to make an efficient corner reflector. If there is air outside and the incident angle is 45.045.0^\circ, what must be the minimum index of refraction of the material from which the reflector is made?

View solution

Problem 25

You can determine the index of refraction of a substance by determining its critical angle. (a) What is the index of refraction of a substance that has a critical angle of 68.468.4^\circ when submerged in water? What is the substance, based on Table 25.1? (b) What would the critical angle be for this substance in air?

View solution

Problem 26

A ray of light, emitted beneath the surface of an unknown liquid with air above it, undergoes total internal reflection as shown in Figure 25.55. What is the index of refraction for the liquid and its likely identification?

View solution

Problem 27

A light ray entering an optical fiber surrounded by air is first refracted and then reflected as shown in Figure 25.56. Show that if the fiber is made from crown glass, any incident ray will be totally internally reflected.

View solution

Section 25.5: Dispersion: The Rainbow and Prisms

Problem 29

A beam of white light goes from air into water at an incident angle of 75.075.0^\circ. At what angles are the red (660 nm) and violet (410 nm) parts of the light refracted?

View solution

Problem 31

(a) A narrow beam of light containing yellow (580 nm) and green (550 nm) wavelengths goes from polystyrene to air, striking the surface at a 30.030.0^\circ incident angle. What is the angle between the colors when they emerge? (b) How far would they have to travel to be separated by 1.00 mm?

View solution

Problem 32

A parallel beam of light containing orange (610 nm) and violet (410 nm) wavelengths goes from fused quartz to water, striking the surface between them at a 60.060.0^\circ incident angle. What is the angle between the two colors in water?

View solution

Problem 33

A ray of 610 nm light goes from air into fused quartz at an incident angle of 55.055.0^\circ. At what incident angle must 470 nm light enter flint glass to have the same angle of refraction?

View solution

Problem 34

A narrow beam of light containing red (660 nm) and blue (470 nm) wavelengths travels from air through a 1.00 cm thick flat piece of crown glass and back to air again. The beam strikes at a 30.030.0^\circ incident angle. (a) At what angles do the two colors emerge? (b) By what distance are the red and blue separated when they emerge?

View solution

Problem 35

A narrow beam of white light enters a prism made of crown glass at a 45.045.0^\circ incident angle, as shown in Figure 25.57. At what angles, θR\theta_R and θV\theta_V , do the red (660 nm) and violet (410 nm) components of the light emerge from the prism?

View solution

Section 25.6: Image Formation by Lenses

Problem 40

How far from the lens must the film in a camera be, if the lens has a 35.0 mm focal length and is being used to photograph a flower 75.0 cm away? Explicitly show how you follow the steps in the Problem-Solving Strategy for lenses.

View solution

Problem 41

A certain slide projector has a 100 mm focal length lens. (a) How far away is the screen, if a slide is placed 103 mm from the lens and produces a sharp image? (b) If the slide is 24.0 by 36.0 mm, what are the dimensions of the image? Explicitly show how you follow the steps in the Problem- Solving Strategy for lenses.

View solution

Problem 42

A doctor examines a mole with a 15.0 cm focal length magnifying glass held 13.5 cm from the mole (a) Where is the image? (b) What is its magnification? (c) How big is the image of a 5.00 mm diameter mole?

View solution

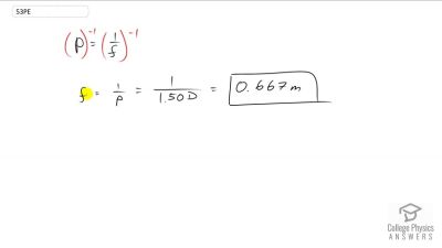
Problem 43

How far from a piece of paper must you hold your father’s 2.25 D reading glasses to try to burn a hole in the paper with sunlight?

View solution

Problem 44

A camera with a 50.0 mm focal length lens is being used to photograph a person standing 3.00 m away. (a) How far from the lens must the film be? (b) If the film is 36.0 mm high, what fraction of a 1.75 m tall person will fit on it? (c) Discuss how reasonable this seems, based on your experience in taking or posing for photographs.

View solution

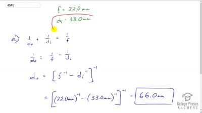
Problem 45

A camera lens used for taking close-up photographs has a focal length of 22.0 mm. The farthest it can be placed from the film is 33.0 mm. (a) What is the closest object that can be photographed? (b) What is the magnification of this closest object?

View solution

Problem 46

Suppose your 50.0 mm focal length camera lens is 51.0 mm away from the film in the camera. (a) How far away is an object that is in focus? (b) What is the height of the object if its image is 2.00 cm high?

View solution

Problem 47

(a) What is the focal length of a magnifying glass that produces a magnification of 3.00 when held 5.00 cm from an object, such as a rare coin? (b) Calculate the power of the magnifier in diopters. (c) Discuss how this power compares to those for store-bought reading glasses (typically 1.0 to 4.0 D). Is the magnifier’s power greater, and should it be?

View solution

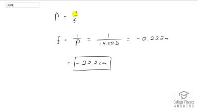
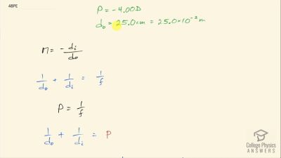
Problem 48

What magnification will be produced by a lens of power –4.00 D (such as might be used to correct myopia) if an object is held 25.0 cm away?

View solution

Problem 49

In Example 25.7, the magnification of a book held 7.50 cm from a 10.0 cm focal length lens was found to be 3.00. (a) Find the magnification for the book when it is held 8.50 cm from the magnifier. (b) Do the same for when it is held 9.50 cm from the magnifier. (c) Comment on the trend in m as the object distance increases as in these two calculations.

View solution

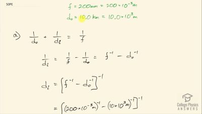
Problem 50

Suppose a 200 mm focal length telephoto lens is being used to photograph mountains 10.0 km away. (a) Where is the image? (b) What is the height of the image of a 1000 m high cliff on one of the mountains?

View solution

Problem 51

A camera with a 100 mm focal length lens is used to photograph the sun and moon. What is the height of the image of the sun on the film, given the sun is 1.40×106 km1.40 \times 10^6 \textrm{ km} in diameter and is 1.50×108 km1.50 \times 10^8 \textrm{ km} away?

View solution

Problem 52

Combine thin lens equations to show that the magnification for a thin lens is determined by its focal length and the object distance and is given by m=ffdom = \dfrac{f}{f-d_o}

View solution

Section 25.7: Image Formation by Mirrors

Problem 54

Some telephoto cameras use a mirror rather than a lens. What radius of curvature mirror is needed to replace a 800 mm focal length telephoto lens?

View solution

Problem 55

(a) Calculate the focal length of the mirror formed by the shiny back of a spoon that has a 3.00 cm radius of curvature. (b) What is its power in diopters?

View solution

Problem 57

What is the focal length of a makeup mirror that produces a magnification of 1.50 when a person’s face is 12.0 cm away? Explicitly show how you follow the steps in the Problem-Solving Strategy for Mirrors.

View solution

Problem 58

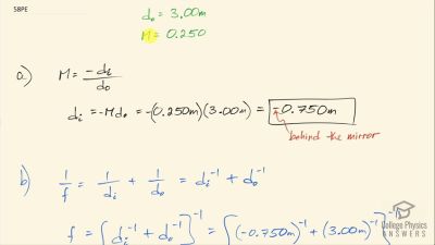
A shopper standing 3.00 m from a convex security mirror sees his image with a magnification of 0.250. (a) Where is his image? (b) What is the focal length of the mirror? (c) What is its radius of curvature? Explicitly show how you follow the steps in the Problem-Solving Strategy for Mirrors.

View solution

Problem 59

An object 1.50 cm high is held 3.00 cm from a person’s cornea, and its reflected image is measured to be 0.167 cm high. (a) What is the magnification? (b) Where is the image? (c) Find the radius of curvature of the convex mirror formed by the cornea. (Note that this technique is used by optometrists to measure the curvature of the cornea for contact lens fitting. The instrument used is called a keratometer, or curve measurer.)

View solution

Problem 60

Ray tracing for a flat mirror shows that the image is located a distance behind the mirror equal to the distance of the object from the mirror. This is stated di=dod_i = -d_o , since this is a negative image distance (it is a virtual image). (a) What is the focal length of a flat mirror? (b) What is its power?

View solution

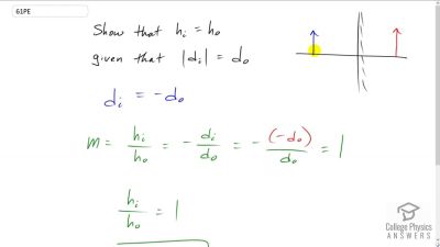
Problem 61

Show that for a flat mirror hi=hoh_\textrm{i} = h_\textrm{o}, knowing that the image is a distance behind the mirror equal in magnitude to the distance of the object from the mirror.

View solution

Problem 62

Use the law of reflection to prove that the focal length of a mirror is half its radius of curvature. That is, prove that f=R2 f = \dfrac{R}{2}. Note this is true for a spherical mirror only if its diameter is small compared with its radius of curvature.

View solution

Problem 63

Referring to the electric room heater considered in the first example in this section, calculate the intensity of IR radiation in W/m2\textrm{W/m}^2 projected by the concave mirror on a person 3.00 m away. Assume that the heating element radiates 1500 W and has an area of 100 cm2100 \textrm{ cm}^2, and that half of the radiated power is reflected and focused by the mirror.

View solution