Question
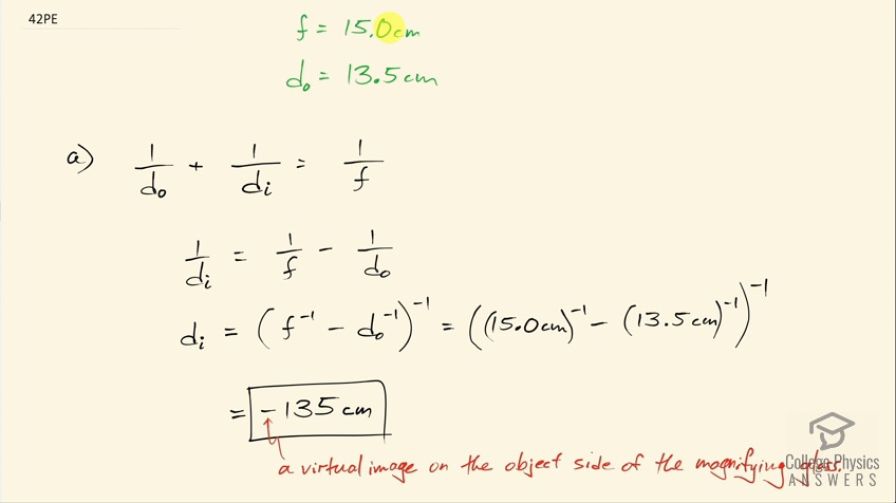
A doctor examines a mole with a 15.0 cm focal length magnifying glass held 13.5 cm from the mole (a) Where is the image? (b) What is its magnification? (c) How big is the image of a 5.00 mm diameter mole?
Final Answer
- . The negative sign indicates that the image is on the same side of the magnifying glass as the object, and it's inverted.
Solution video
OpenStax College Physics, Chapter 25, Problem 42 (Problems & Exercises)

vote with a rating of
votes with an average rating of
.
Calculator Screenshots
Video Transcript
This is College Physics Answers with Shaun Dychko. A doctor is examining a mole in a person's skin using a 15.0 centimeter focal length magnifying glass and they are holding it 13.5 centimeters away from the mole so the mole is the object so that's why 13.5 centimeters is d o. Our thin lens equation says 1 over d o plus 1 over the image distance equals 1 over the focal length and question in part (a) is where is the image going to be for this mole? We can subtract 1 over the object distance from both sides and that gives us 1 over the image distance is 1 over focal length minus 1 over object distance and then we raise both sides to the power of negative 1 and we end up with this line although I don't want to confuse you so let's do one more intermediate step here 1 over f is the same as f to the power of negative 1 and then 1 over object distance is the same as d o to the power of negative 1 and the reason I like to write it with exponent negative 1 is because that's what I end up plugging into my calculator. So I go focal length exponent negative 1 because there's a button for that— exponent negative 1— and then minus object distance and I click that single button— exponent negative 1— and then put all that in brackets and then click that button again and then we get our answer. So this is all being raised to the exponent negative 1 along with this left hand side. So image distance then is the reciprocal of the reciprocal of the focal length minus the reciprocal of the object distance. So we have 15.0 centimeters to the power of negative 1 minus 13.5 centimeters to the power of negative 1 take that difference and then afterwards raise that result to the power of negative 1 and you get negative 135 centimeters. So this negative sign tells us that the image is virtual and it's going to be on the same side of the magnifying glass as the object is and it's gonna appear to be 135 centimeters away from the magnifying glass. So there we go! Part (b) asks what is the magnification? And so that's the negative of the image distance divided by the object distance. So that's the negative of negative 135 centimeters divided by 13.5 centimeters and that gives a magnification of 10.0. So this positive magnification means the image will be upright and we know that it's also going to be virtual. And then the question is what height will the image have? So how big will the mole appear to be given its... the object size is 5.00 millimeters so if the mole is measured directly using a ruler, its size is 5.00 millimeters in diameter and then the question is what will it appear to be through the magnifying glass? So the magnification is also written as the ratio of the image height to the object height and we multiply both sides by h o to solve for h i. So the magnification is 10.0— as we found before— multiplied by 5.00 millimeters—object size— and that gives 50.0 millimeters will be the size when looking through the magnifying glass.