Question
(a) At what temperature do the Fahrenheit and Celsius scales have the same numerical value? (b) At what temperature do the Fahrenheit and Kelvin scales have the same numerical value?
Final Answer
- or
- or
Solution video
OpenStax College Physics, Chapter 13, Problem 8 (Problems & Exercises)

vote with a rating of
votes with an average rating of
.
Calculator Screenshots
Video Transcript
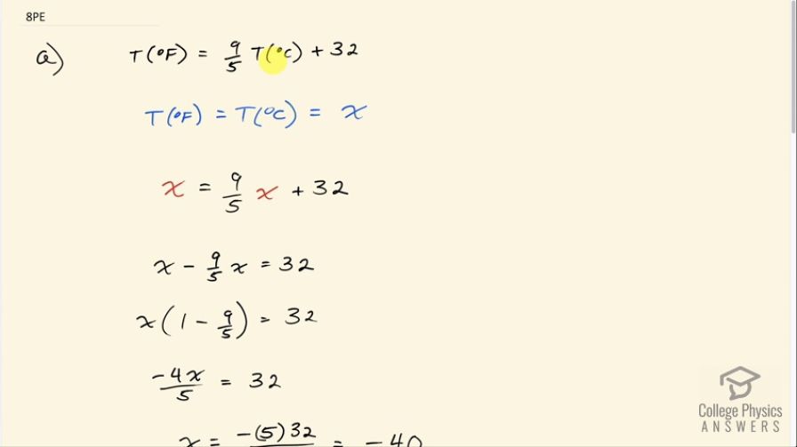
This is College Physics Answers with Shaun Dychko. In part A of this question we're going to figure out at what numerical number do we have the temperature in degrees Celsius being the same as the temperature in degrees Fahrenheit. So here's our conversion between Fahrenheit and Celsius and we're going to say that the Fahrenheit temperature and the Celsius temperature read the exact same number which we'll call X. So replace temperature in degrees Fahrenheit and temperature in degrees Celsius replace both those temperatures with the letter X and now we'll solve for X. So we'll subtract 9 over 5 X from both sides and we end up with X minus 9 over 5 X equals 32. Factor out the common factor X and we have X times bracket 1 minus 9 over 5 equals 32. And 1 minus 9 over 5 is negative 4 over 5 because this one can be multiplied by 5 over 5 to get a common denominator. So 5 minus 9 is negative 4 and all written over 5. And then multiply both sides by negative 5 over 4 and we get X is negative 5 times 32 over 4 which is negative 40. So the temperature at which the Fahrenheit scale and the Celsius scale read the same number is at negative 40 degrees Fahrenheit or you could say negative 40 degrees Celsius. And then Part B asks for the same question comparing temperature in degrees Fahrenheit to temperature in Kelvin. So using this formula up here replacing the temperature in degree Celsius with this formula here for the temperature expressed in Kelvin. And so to convert from Kelvin into Celsius you subtract 273.15. So we're going to substitute this in place of temperature in degrees Celsius in this formula here. So this part got replaced by this so that we have temperature in Kelvin here. So the temperature in Kelvin and the temperature in degrees Fahrenheit are meant to be the same number which we'll call X again and then replacing both these temperatures with letter X. And now we distribute the 9/5s into the bracket. So we have X equals 9 over 5X minus 273.15 times 9 over 5 plus 32. This constant term works out to negative 459.67. And then we also subtract 9 over 5 X from both sides and then factor out the common factor X here. And we have X times 1 minus 9 over 5 equals negative 459.67. 1 minus 9 over 5 becomes negative 4 over 5. Multiply both sides by negative 5 over 4 and we get negative 5 over 4 times negative 459.67 is 575. So when the temperature is 575 Kelvin or 575 degrees Fahrenheit we get the same number from these two different temperature scales.