Question
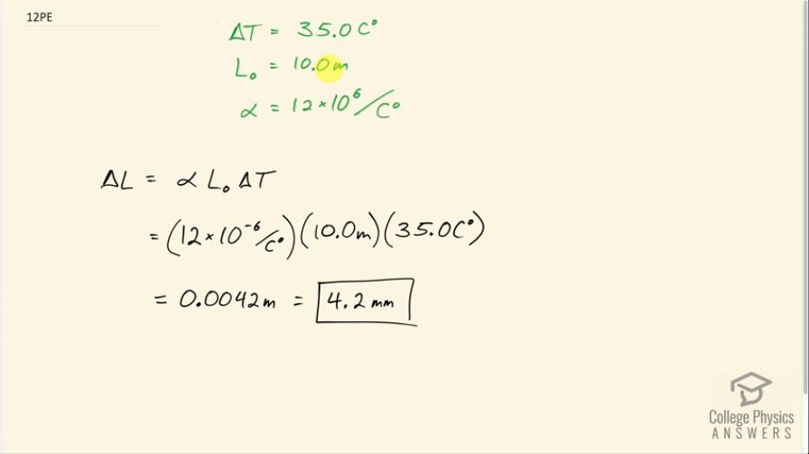
How large an expansion gap should be left between steel railroad rails if they may reach a maximum temperature greater than when they were laid? Their original length is 10.0 m.
Final Answer
Solution video
OpenStax College Physics, Chapter 13, Problem 12 (Problems & Exercises)

vote with a rating of
votes with an average rating of
.
Calculator Screenshots
Video Transcript
This is College Physics Answers with Shaun Dychko. Some steel railroad rails are initially 10 meters long when they are laid down on the track. And then we suppose that the temperature increases by 35 Celsius degrees compared to when they were originally put down. How much of a gap should be left between adjacent rail segments so that the gap has to be the amount of expansion of the rail due to this temperature increase? So, this change in length will be the coefficient of linear expansion of steel which is 12 times 10 to the 6 per Celsius degree. So for steel we have it here as 12 to the minus 6 in table 13.2. And we multiply that coefficient of linear expansion by the original length and then by the change in temperature. So that's 12 times 10 to the minus 6 Celsius degree times 10 meters times 35 Celsius degrees. And that is 4.2 millimeters.