Question
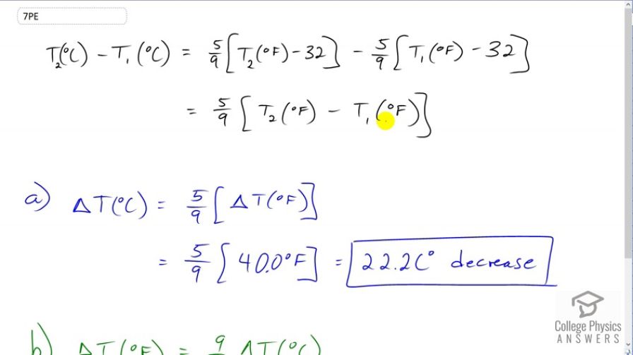
(a) Suppose a cold front blows into your locale and drops the temperature by 40.0 Fahrenheit degrees. How many degrees Celsius does the temperature decrease when there is a decrease in temperature? (b) Show that any change in temperature in Fahrenheit degrees is nine-fifths the change in Celsius degrees.
Final Answer
Solution video
OpenStax College Physics, Chapter 13, Problem 7 (Problems & Exercises)

vote with a rating of
votes with an average rating of
.
Calculator Screenshots
Video Transcript
This is College Physics Answers with Shaun Dychko. Let's create a formula that will tell us what the difference in temperature in Celsius degrees will be based on the difference in temperature in Fahrenheit degrees. So taking temperature two in degrees Celsius minus temperature one in degrees Celsius is going to be this formula which converts Fahrenheit temperature into Celsius. Five ninths times T2 degrees in Fahrenheit minus 32 minus the same formula with temperature one in Fahrenheit and five ninths times negative 32 and then we have another negative five ninths here times negative 32. These are going to be the same values for what opposite sign. We have positive five ninths times minus 32. And we have negative five ninths times minus 32. And so whatever five ninths times 32 is, doesn't matter, it's going to be opposite signs and they will make zero. So we're going to be left with five ninths times T2 minus five ninths times T1. And these two terms will have a common factor of five ninths so we can factor it out. So we have five ninths times T2 in degrees Fahrenheit minus T1 in degrees Fahrenheit, which is another way of writing this is to say that the change in temperature in degrees Celsius equals five ninths times the change in temperature in degrees Fahrenheit. So we'll go five ninths times 40 degrees Fahrenheit and that makes a decrease of 22.2 Celsius degrees. Now, to get a formula for the change in temperature in Fahrenheit degrees as a function of the change in temperature in Celsius degrees will take this and multiply both sides by nine over five. And you get change in temperature in Fahrenheit is nine fifths times change in temperature in Celsius.