Question
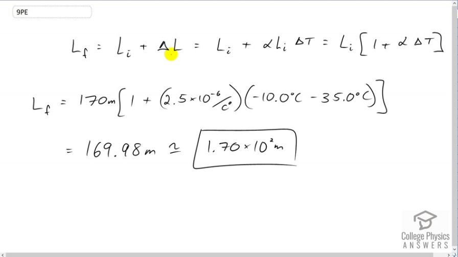
The height of the Washington Monument is measured to be 170 m on a day when the temperature is . What will its height be on a day when the temperature falls to ? Although the monument is made of limestone, assume that its thermal coefficient of expansion is the same as marble’s.
Final Answer
. The decrease in height is negligible.
Solution video
OpenStax College Physics, Chapter 13, Problem 9 (Problems & Exercises)

vote with a rating of
votes with an average rating of
.
Calculator Screenshots
Video Transcript
This is College Physics Answers with Shaun Dychko. The final height of the Washington monument will be its initial height plus its change in height based on the change in temperature. So that's going to be Li plus this expansion coefficient times the initial length times the change of temperature. And we can factor out Li from both of this terms and we get Li times one plus alpha delta T. So the final height will be 170 meters that it started with times one plus the expansion coefficient of marble which is two and a half times ten to the minus six per Celsius degree and then times by the change in temperature. So that's negative ten degrees Celsius final temperature minus thirty five degrees Celsius initial temperature and we get 169.98 meters which rounds to 1.70 times ten to the two meters when you have three significant figures. And so the height essentially hasn't change in any really measurable way, but you know maybe, it slightly decreased.