Question
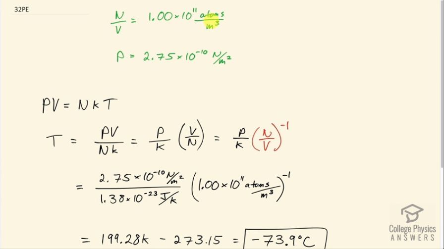
The number density of gas atoms at a certain location in the space above our planet is about , and the pressure is in this space. What is the temperature there?
Final Answer
Solution video
OpenStax College Physics, Chapter 13, Problem 32 (Problems & Exercises)

vote with a rating of
votes with an average rating of
.
Calculator Screenshots
Video Transcript
This is College Physics Answers with Shaun Dychko. We are told that the number density of gas atoms at a particular position in space is one times 10 to the 11 atoms per cubic meter. And we are told that the pressure there which we assume is the absolute pressure, of course, because we are not even on Earth, so there is no such thing as gauge pressure in space. I mean, of course, you could subtract atmospheric pressure from whatever pressure you want but it will be strange to think of gauge pressure out there. So the absolute pressure then is 2.75 times 10 to the minus ten Newton’s per square meter. All right. So our job is to find the temperature and we know from the ideal gas law that pressure times volume equals the number of atoms or molecules times Boltzmann's constant times the absolute temperature. Then we can solve for T by dividing both sides by N times K. And we are not given the volume nor are we given the number, we are given the ratio. So just to write this slightly differently, this temperature is going to be pressure divided by Boltzmann's constant times the volume divided by number of atoms. But V over N is the reciprocal of N over V and N over V is what we are given. So I'm replacing V over N with N over V to the power negative one. And so then we plug in this number that we are given, 1 times 10 to the 11 atoms per cubic meter in here and then raise that to the power of negative one and it gets multiplied by the pressure divided by Boltzmann's constant and this is 199.28 kelvin. And just to put this in perspective, we subtract 273.15 and get an answer of negative 73.9 degrees Celsius.