Question
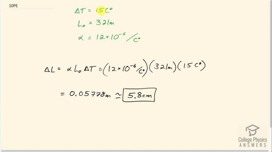
How much taller does the Eiffel Tower become at the end of a day when the temperature has increased by ? Its original height is 321 m and you can assume it is made of steel.
Final Answer
Solution video
OpenStax College Physics, Chapter 13, Problem 10 (Problems & Exercises)

vote with a rating of
votes with an average rating of
.
Calculator Screenshots
Video Transcript
This is College Physics Answers with Shaun Dychko. Suppose at the end of the day the temperature in Paris is 15 Celsius degrees hotter than it was at the beginning of the day, and the Eiffel Tower starts out at 321 meters tall at the beginning of the day. So after the temperature increases by this much, given that the Eiffel Tower is made out of steel with a coefficient of linear expansion of 12 times 10 to the minus six per Celsius degree, how much taller will the Eiffel Tower be at the end of the day due to this temperature increase? So the change in length of the Eiffel Tower will be its coefficient of linear expansion times its original length multiplied by the change in temperature. So that's 12 times 10 to the minus 6 because we have that figure from table 13.2, and we look up steel and it's 12 times 10 to the minus 6, and multiply that by 321 meters original height times 15 Celsius degrees change in temperature and that is about 5.8 centimeters.